10459 Courthouse Drive 2026

Get Form
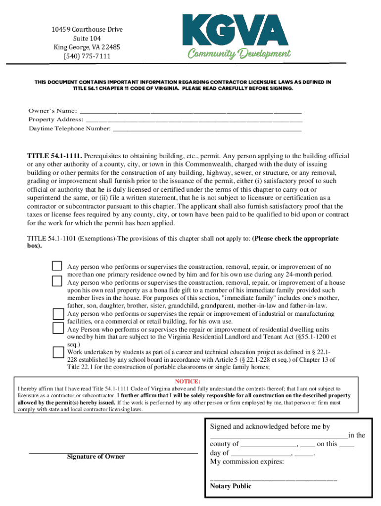
10459 Courthouse Drive Preview on Page 1

Here's how it works

01. Edit your form online
Type text, add images, blackout confidential details, add comments, highlights and more.
02. Sign it in a few clicks
Draw your signature, type it, upload its image, or use your mobile device as a signature pad.
03. Share your form with others
Send it via email, link, or fax. You can also download it, export it or print it out.

Understanding the "10459 Courthouse Drive"

The "10459 Courthouse Drive" form serves specific legal and compliance purposes, often associated with contractor licensure laws, based on context from legal documents such as Title 54.1 Chapter 11 of the Code of Virginia. The form's usage often revolves around contractor-related procedures like building permit applications, where proof of licensure or statements of exemption are required. A comprehensive understanding of the form's definition, purpose, and stipulations is vital for ensuring compliance and smooth procedural execution.

How to Use the "10459 Courthouse Drive"

When utilizing the "10459 Courthouse Drive" form, it is essential to ensure every section is filled with accurate and current information, reflecting the user's circumstances. Steps may include:

  1. Identification of Need: Assess whether you need to provide proof of contractor licensure or an exemption statement.
  2. Detail Input: Enter all required personal, business, and project specifics.
  3. Compliance Check: Verify all inputs against Virginia's legal requirements to ensure compliance.
  4. Approval Pathway: Clarify any submission requirements or steps needed after completing the form.

Steps to Complete the "10459 Courthouse Drive"

Filling out the "10459 Courthouse Drive" involves a detailed and methodical approach to ensure legal compliance:

  1. Gather Required Documents: Collect personal identification details and licensure proof.
  2. Understand State Requirements: Review Virginia's Code details pertaining to contractor licensing.
  3. Enter Personal & Business Details: Fill in your identification information meticulously.
  4. Licensure Information: Provide contractor license certificate details if needed or state exemption.
  5. Review & Verify: Double-check every input for accuracy before submission.

Key Reasons to Utilize the "10459 Courthouse Drive"

Individuals and businesses dealing with construction and contracting within Virginia often depend on the "10459 Courthouse Drive" to streamline legal processes, particularly in acquiring building permits:

  • Compliance Assurance: Confirms adherence to Virginia's legal stipulations for contractors.
  • Streamlined Permit Approvals: Facilitates quicker building permit processes.
  • Risk Management: Aids in avoiding potential legal issues through proactive compliance.

Who Typically Uses the "10459 Courthouse Drive"

The form is commonly completed by various parties involved in building and construction activities, including:

  • Contractors and Builders: Looking to prove their licensure status.
  • Property Developers: Ensuring that contractors hired meet state licensure requirements.
  • Legal Advisors: Assisting clients in compliance-related matters.
decoration image ratings of Dochub

Legal Use of the "10459 Courthouse Drive"

The legal application of the "10459 Courthouse Drive" is significant, particularly in demonstrating contractor credentials during property development. Compliance with Virginia law is essential to prevent legal discrepancies or procedures delays.

  • Proof of Licensure: Provides an official method to showcase contractor legality.
  • States' Legal Documentation: Acts as a recognized document per Virginia state law.

Important Terms Related to "10459 Courthouse Drive"

Familiarity with relevant terminologies enhances comprehension and completion accuracy:

  • Contractor Licensure: An acknowledgment certifying authority to conduct contracting work.
  • Licensure Exemption: Circumstance under which a contractor may not require full licensure documentation.
  • Code of Virginia: Legal codes setting out state-specific legal practices.

State-Specific Rules for the "10459 Courthouse Drive"

While the form is largely used within Virginia, specifics can vary:

  • Virginia-based Compliance: The primary legal framework is based on Virginia’s regulatory environment.
  • Cross-State Activities: Contractors operating in multiple states need awareness of inter-state licensure recognition.

Required Documentation for Submission

To properly file the "10459 Courthouse Drive":

  • Personal Identification: Government-issued ID copies.
  • Licensure Proof: Necessary documents or certificates confirming contractor status.
  • Exemption Statements: If applicable, specific supporting documentation regarding licensure exemptions.

Examples of Using the "10459 Courthouse Drive"

Real-world applications include:

  • Residential Construction: Completing the form during new home construction to secure necessary permits.
  • Commercial Development: Large-scale building projects employ this form to streamline compliance processes.
  • Renovation Projects: Contractors use it to verify authority to perform extensive renovations.

Filing Deadlines and Important Dates

Timeliness ensures every document is legal and compliant:

  • Permit Application Deadlines: Align form submission with specific project timelines for permits.
  • State-Imposed Dates: Monitor regulatory updates or adjusted deadlines critical to ongoing legal compliance.

Form Submission Methods: Online or Mail

Legal documents often offer varying modes of submission:

  • Online Platforms: Electronic submission through government portals.
  • Mail Submission: Traditional mail to relevant state departments when electronic means are unavailable.

Penalties for Non-Compliance

Failing to properly utilize the "10459 Courthouse Drive" might entail:

  • Fines and Legal Actions: Possible financial penalties for non-compliance.
  • Project Delays: Hold-ups in obtaining building permits leading to construction delays.
  • Legal Proceedings: Prolonged legal resolution processes if discrepancies extend.
be ready to get more

Complete this form in 5 minutes or less

Get form

Security and compliance

At DocHub, your data security is our priority. We follow HIPAA, SOC2, GDPR, and other standards, so you can work on your documents with confidence.

Learn more
ccpa2
pci-dss
gdpr-compliance
hipaa
soc-compliance