Kern Rrd 0320-2026

Get Form
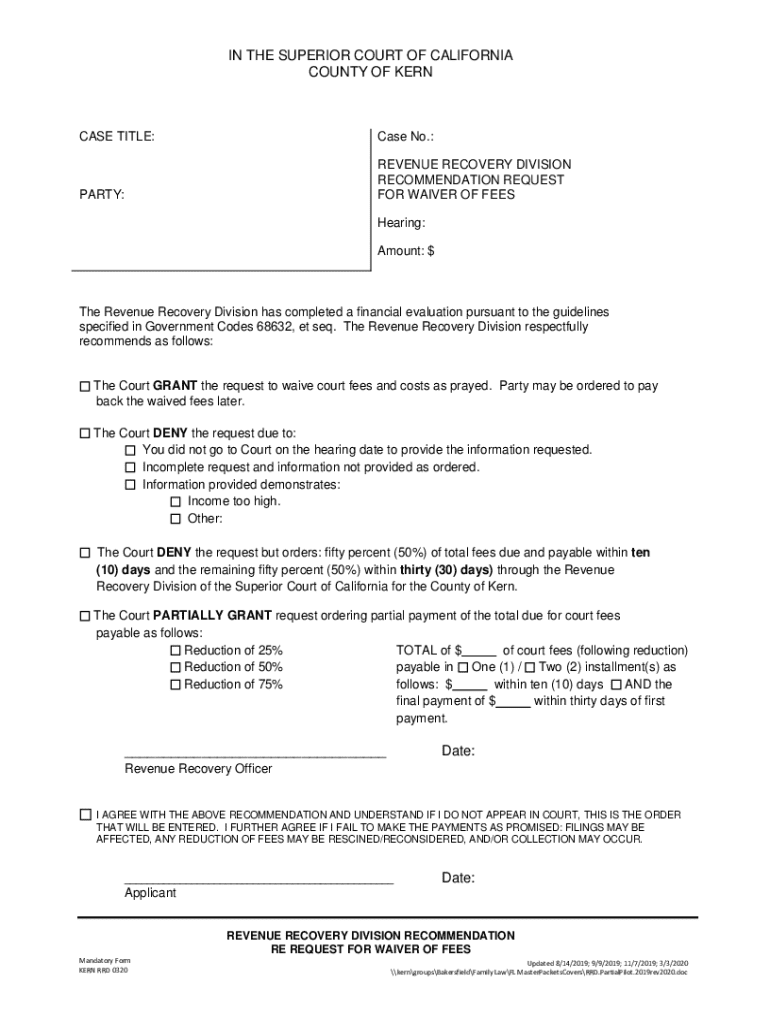
Kern Rrd 0320 Preview on Page 1

Here's how it works

01. Edit your form online
Type text, add images, blackout confidential details, add comments, highlights and more.
02. Sign it in a few clicks
Draw your signature, type it, upload its image, or use your mobile device as a signature pad.
03. Share your form with others
Send it via email, link, or fax. You can also download it, export it or print it out.

Definition & Meaning

The Kern Rrd 0320 is a document related to court fee waiver requests within the Revenue Recovery Division of the Superior Court of California, specifically within the County of Kern. This form is utilized to evaluate an individual's eligibility for waiving court fees based on certain criteria, such as income, personal circumstances, and adherence to relevant government codes. It is an essential instrument for those unable to afford court-associated costs, allowing equitable access to the judicial system.

How to Use the Kern Rrd 0320

To effectively use the Kern Rrd 0320, applicants should first gather all necessary information regarding their financial status and personal circumstances that support their fee waiver request. It’s crucial to understand the criteria that the Superior Court of California employs during the evaluation process, ensuring all required sections are filled out accurately. Submit the form alongside pertinent documents that provide evidence of financial hardship or other qualifying factors. Paying close attention to detail when completing this form will help avoid inadvertent errors that could delay or jeopardize the fee waiver approval.

Steps to Complete the Kern Rrd 0320

  1. Gather Financial Information: Collect details about your income, assets, and expenses. This information will support your case for financial relief.
  2. Understand Government Codes: Familiarize yourself with the specific government codes referenced in the form to comprehend the standards against which you’ll be evaluated.
  3. Fill Out Personal Details: Provide detailed information, including your name, address, and case number, if applicable.
  4. Submit Evidence: Attach copies of documents like pay stubs, bank statements, or tax returns that corroborate your financial situation.
  5. Review and Submit: Double-check all entries for accuracy before submitting the form to the appropriate division within the court.

Key Elements of the Kern Rrd 0320

  • Personal and Financial Information: Crucial for demonstrating the applicant's need for a fee waiver.
  • Supporting Documentation: Includes evidence of income or lack thereof, expenses, and financial obligations.
  • Certification of Truthfulness: A necessary affirmation that the information provided is accurate and truthful, under penalty of perjury.
  • Outcome Options: Includes potential decisions such as full fee waiver, denial due to insufficient information or resources, or a partial waiver with a payment plan.

Legal Use of the Kern Rrd 0320

The Kern Rrd 0320 is legally bound by the regulations set forth by the Superior Court of California. It is intended solely for individuals seeking to waive standard court fees due to economic constraints. The legal parameters ensure that justice is accessible to those who are financially disadvantaged, aligning with broader judicial commitments to equity and fairness.

Penalties for Non-Compliance

Failure to comply with the requirements outlined in the Kern Rrd 0320 can result in several penalties. This may include the denial of the fee waiver application, potential legal consequences if false information is provided, and the possibility of owing additional fees and charges. It's vital to adhere to all instructions and verify the authenticity of all information provided.

Important Terms Related to Kern Rrd 0320

  • Fee Waiver: The act of dismissing certain court fees due to demonstrated financial hardship.
  • Eligibility Criteria: The specific requirements an applicant must meet to qualify for a waiver.
  • Government Codes: Legal rules referenced within the form, which determine the waiver eligibility.
  • Revenue Recovery Division: The court section responsible for processing and deciding on fee waiver applications.

Examples of Using the Kern Rrd 0320

An individual who is unemployed and unable to cover legal expenses due to lack of income may use the Kern Rrd 0320 form to request a fee waiver. Another example involves a person who, although employed, has an income that barely meets the basic living expenses and thus seeks relief from additional financial burdens due to court fees. These examples illustrate real-world scenarios where individuals can benefit from properly completing and submitting this form.

be ready to get more

Complete this form in 5 minutes or less

Get form

Got questions?

We have answers to the most popular questions from our customers. If you can't find an answer to your question, please contact us.
Contact us
Court case information is public and may be obtained by going to the court website at .kern.courts.ca.gov. This page includes date of arrest, charges, and court disposition.
Under rule 10.500 of the California Rules of Court, the public may request copies of most judicial administrative records. The Judicial Council also already posts many judicial administrative records on the California Courts website, courts.ca.gov.
You may obtain copies of court records from the Superior Court of California, County of Kern. Access to case files is not available via the Internet, however you may request transcripts of court proceedings through the Internet.

Security and compliance

At DocHub, your data security is our priority. We follow HIPAA, SOC2, GDPR, and other standards, so you can work on your documents with confidence.

Learn more
ccpa2
pci-dss
gdpr-compliance
hipaa
soc-compliance
be ready to get more

Complete this form in 5 minutes or less

Get form