Domestic partnership document 2026

Get Form
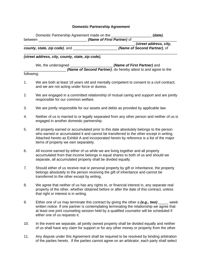
domestic partnership document Preview on Page 1

Here's how it works

01. Edit your form online
Type text, add images, blackout confidential details, add comments, highlights and more.
02. Sign it in a few clicks
Draw your signature, type it, upload its image, or use your mobile device as a signature pad.
03. Share your form with others
Send it via email, link, or fax. You can also download it, export it or print it out.

How to use or fill out domestic partnership document with our platform

Form edit decoration
9.5
Ease of Setup
DocHub User Ratings on G2
9.0
Ease of Use
DocHub User Ratings on G2
  1. Click ‘Get Form’ to open the domestic partnership document in the editor.
  2. Begin by entering the date of the agreement at the top of the document. This is crucial for establishing when your partnership officially begins.
  3. Fill in the names and addresses of both partners in the designated fields. Ensure accuracy, as this information is essential for legal recognition.
  4. Review each clause carefully, confirming that both partners meet the requirements outlined, such as age and mental competency.
  5. Discuss and complete sections regarding asset ownership and responsibilities. Make sure to include any separate property details in Exhibit A.
  6. Sign and print your names at the bottom of the document. Ensure that both partners sign in front of a notary public if required by your state.

Start using our platform today to easily complete your domestic partnership agreement online for free!

be ready to get more

Complete this form in 5 minutes or less

Get form

Got questions?

We have answers to the most popular questions from our customers. If you can't find an answer to your question, please contact us.
Contact us
Yes. One copy (uncertified) of the file stamped Declaration of Domestic Partnership Form and a Certificate of Registration of Domestic Partnership will be provided to the partners upon registration. Additional copies, both certified and uncertified, may be purchased at the time of registration.
The domestic partnership is a legal relationship between two people of the same or opposite sex who live together and share a domestic life, but are not married or joined by a civil union nor are blood relatives.
No, you cant, Since there is no legal financial obligation between yourself and your girlfriend, she cannot be added to most health insurance policies. The exception to this might be if you live in a state which recognizes common law marriage or domestic partnerships.

Security and compliance

At DocHub, your data security is our priority. We follow HIPAA, SOC2, GDPR, and other standards, so you can work on your documents with confidence.

Learn more
ccpa2
pci-dss
gdpr-compliance
hipaa
soc-compliance
be ready to get more

Complete this form in 5 minutes or less

Get form