INT-120 CERTIFICATION OF UNAVAILABILITY OF CERTIFIED OR REGISTERED INTERPRETER AND AVAILABILITY OF P 2026

Get Form
INT-120 CERTIFICATION OF UNAVAILABILITY OF CERTIFIED OR REGISTERED INTERPRETER AND AVAILABILITY OF P Preview on Page 1

Here's how it works

01. Edit your form online
Type text, add images, blackout confidential details, add comments, highlights and more.
02. Sign it in a few clicks
Draw your signature, type it, upload its image, or use your mobile device as a signature pad.
03. Share your form with others
Send it via email, link, or fax. You can also download it, export it or print it out.

Definition and Purpose of the INT-120 Certification

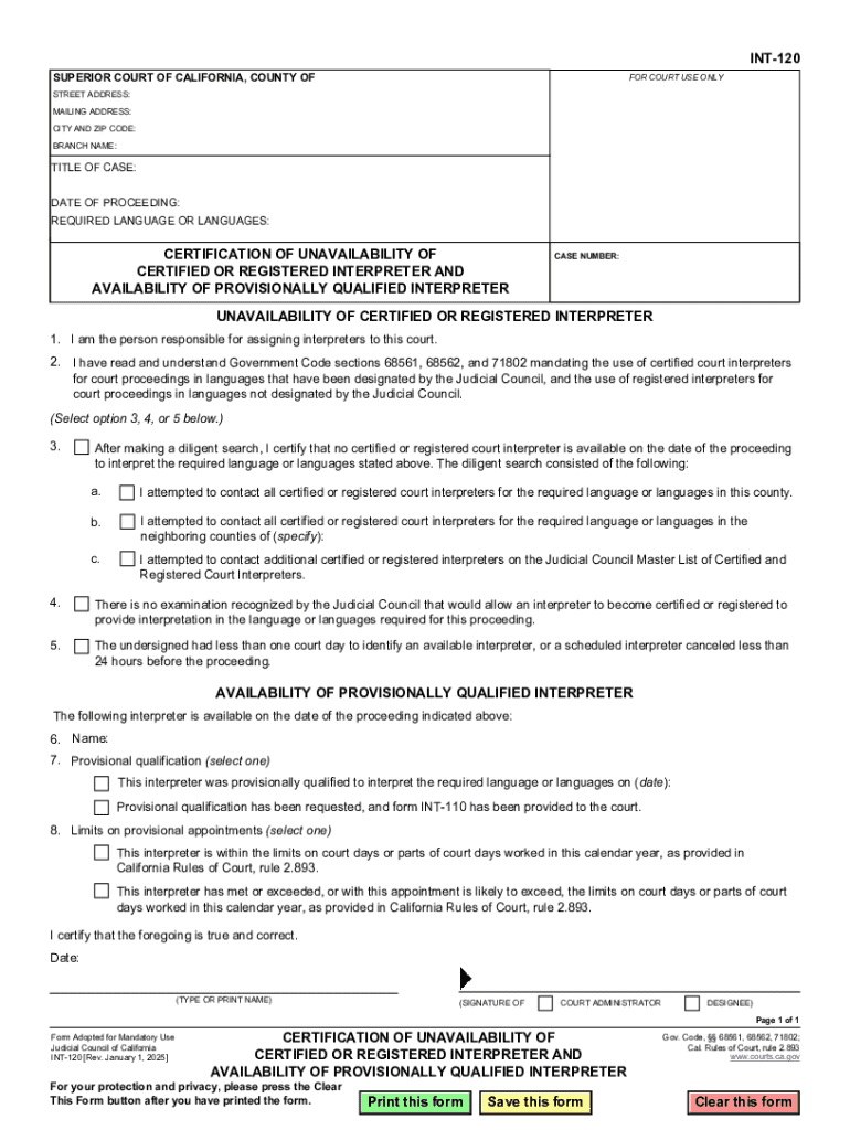
The INT-120 Certification is a document utilized by the Superior Court of California. It is employed to certify that either a certified or registered interpreter is unavailable for court proceedings. Additionally, it serves as a declaration of the availability of provisionally qualified interpreters. This certification ensures that court proceedings can continue without delay, even in the absence of certified interpreters, by utilizing provisional interpreters. The form is crucial for maintaining judicial efficiency and meeting legal requirements to provide language interpretation services.

How to Use the INT-120 Certification

The INT-120 Certification is used primarily by court officials responsible for appointing interpreters. To correctly utilize this form, the official must document a diligent search for a certified interpreter, including the reasons why none are available. Once this is established, the form is used to appoint a provisionally qualified interpreter. This process involves certifying the interpreter's provisional qualifications, ensuring they meet the necessary criteria to participate in judicial proceedings.

Steps to Complete the INT-120 Certification

  1. Initiate the Search for Certified Interpreters: Begin by searching for available certified or registered interpreters who meet the requirements for the specific court case.
  2. Document Unavailability: If no certified interpreters are available, document the efforts made to locate one, including contacting interpreter services or agencies.
  3. Appoint a Provisional Interpreter: Upon confirming the unavailability of certified interpreters, appoint a provisionally qualified interpreter.
  4. Complete the Form: Fill out the INT-120 by detailing the search process, the unavailability declaration, and the selection of the provisional interpreter.
  5. Submit the Certification: Once completed, submit the form to the relevant court authority to formalize the interpreter's appointment.

Importance of the INT-120 Certification

The INT-120 Certification is vital for ensuring that language interpretation services are available in court proceedings. It facilitates access to justice by allowing courts to utilize provisionally qualified interpreters when certified or registered ones are unavailable. This form maintains the integrity and continuity of the legal process, thereby preventing delays and ensuring that non-English-speaking participants receive fair treatment under the law.

Who Typically Uses the INT-120 Certification

The INT-120 Certification is typically used by court administrators, judges, and other judicial officials responsible for assigning interpreters for court cases. It may also involve participation from interpreter service agencies that seek to provide qualified personnel for court proceedings. Legal practitioners concerned with ensuring proper communication for their clients may also use this form indirectly through their interaction with court administration.

decoration image ratings of Dochub

Key Elements of the INT-120 Certification

  • Certification of Unavailability: A declaration that no certified interpreters are available after a thorough search.
  • Provisional Qualification: Verification that the appointed interpreter meets the provisional qualifications to serve in the proceedings.
  • Search Documentation: Detailed records of the search efforts and the entities contacted during the process.
  • Appointment Details: Information about the provisionally qualified interpreter, including their credentials and the specific proceedings they will be serving.

Legal Use and Implications of the INT-120 Certification

Legally, the INT-120 Certification ensures compliance with California state regulations that mandate interpreter availability in court proceedings. It provides a framework for the provisional use of interpreters, detailing the conditions and requirements that must be met. The document protects the court's interests by ensuring that decisions made in the absence of certified interpreters are defensible, reflecting due diligence in maintaining fair legal processes.

Examples of Using the INT-120 Certification

Consider a scenario where a court case involves multiple languages, and no certified interpreters are available. Using the INT-120 Certification, the court can appoint a provisionally qualified interpreter to handle the immediate session. This flexibility prevents court delays and ensures that all parties involved can understand and participate in the legal proceedings effectively and efficiently. Another example might involve remote court settings where certified interpreters may not be physically present, necessitating the use of a provisional interpreter verified through the INT-120 process.

be ready to get more

Complete this form in 5 minutes or less

Get form

Security and compliance

At DocHub, your data security is our priority. We follow HIPAA, SOC2, GDPR, and other standards, so you can work on your documents with confidence.

Learn more
ccpa2
pci-dss
gdpr-compliance
hipaa
soc-compliance
be ready to get more

Complete this form in 5 minutes or less

Get form