NC-312 Marriage License and CertificateAttachment Judicial Council forms 2026

Get Form
NC-312 Marriage License and CertificateAttachment Judicial Council forms Preview on Page 1

Here's how it works

01. Edit your form online
Type text, add images, blackout confidential details, add comments, highlights and more.
02. Sign it in a few clicks
Draw your signature, type it, upload its image, or use your mobile device as a signature pad.
03. Share your form with others
Send it via email, link, or fax. You can also download it, export it or print it out.

Definition & Meaning

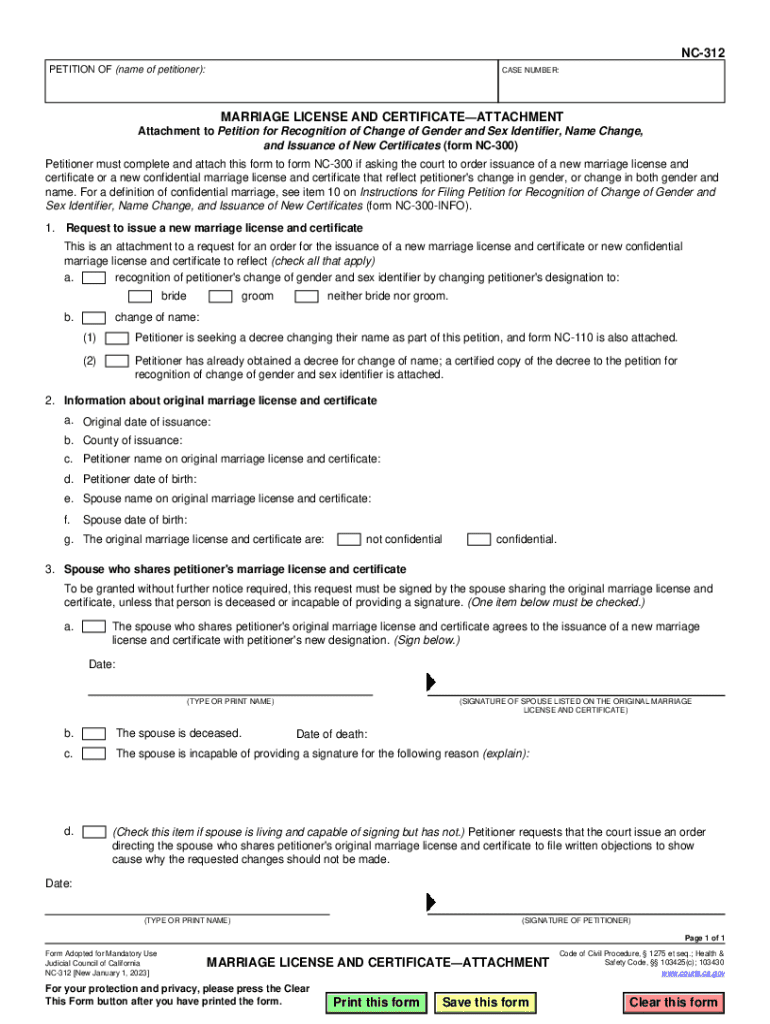
The NC-312 Marriage License and Certificate Attachment Judicial Council form is a legal document used in California by individuals who wish to change their gender and name on their marriage license and certificate. It accompanies a petition for these changes and captures essential information about the original documents, the petitioner's details, and any requirements related to the spouse's consent or notification.

How to Obtain the NC-312 Form

To acquire the NC-312 form, individuals can download it from the California Courts website or obtain a physical copy from a local courthouse. It's essential to ensure that the form is the latest version, as procedures and requirements may change. Legal assistance or guidance may also be beneficial during this procurement process to ensure all prerequisites are understood.

Steps to Complete the NC-312 Form

  1. Personal Information: Enter the petitioner's full name, current gender, and details as they appear on the original marriage license.
  2. Details of Change: Specify the new gender and name requested for the marriage license and certificate.
  3. Original Document Information: Provide accurate data from the original marriage license, including the date of the marriage and the location where it was issued.
  4. Spousal Notification: Indicate whether spousal consent is obtained or notification is required.
  5. Signature: Ensure the form is signed and dated by the petitioner. Legal counsel witnessing the form is advisable for authenticity.

Why Use the NC-312 Form

The NC-312 form is used to legally amend a marriage license and certificate to reflect gender and name changes. It is critical for ensuring personal and legal documents accurately represent an individual's identity, which is essential in personal validation and conformity to state records for consistency across various legal systems.

Who Typically Uses the NC-312 Form

This form is primarily utilized by individuals who have undergone gender transition or have legally changed their names and wish to update their marriage records to reflect these changes. It is often necessary for individuals in the transgender community or those who have legally adopted a new name for personal reasons.

decoration image ratings of Dochub

Key Elements of the NC-312 Form

  • Petition Information: Complete details of the petitioner, including current and proposed names.
  • Marriage Details: Information about the original marriage license such as date and issuance location.
  • Change Request: Nature of the requested amendments, including justification for these changes.
  • Consent and Notification: Section for validating either spousal consent or detailing the process of notification.

Legal Use of the NC-312 Form

Using the NC-312 form enables legal identity updates on marriage licenses and certificates in accordance with California law. This form ensures that individuals have the ability to align their personal identification documents with their lived identity, supporting both personal integrity and legal accuracy.

Important Terms Related to the NC-312 Form

  • Petitioner: The individual requesting the change.
  • Respondent: Usually refers to the spouse when consent or notification is involved.
  • Amendment: The correction or alteration requested for a legal document.
  • Jurisdiction: The legal authority through which the form is processed and authorized.

State-Specific Rules for the NC-312 Form

California-specific requirements dictate the conditions under which an NC-312 form is valid. For example, state law may necessitate providing evidence of a name change through a court order or medical documentation for gender change. Additionally, notification or consent from a spouse might align with state privacy statutes, impacting how the form is processed.

Examples of Using the NC-312 Form

  • Case Study: Gender Transition: An individual who has legally changed their gender uses the NC-312 form to update their marriage certificate, ensuring consistency across all identification documents.
  • Name Change Scenario: A person undergoing a personal or legal name change, like adopting a new surname post-marriage or post-divorce, would use the form to mirror these changes on marriage records.

Eligibility Criteria for NC-312 Form

To qualify to use the NC-312 form, the applicant must:

  • Be a resident of California or have been married in California.
  • Possess a certified copy of the original marriage license.
  • Show evidence of a legal name change or gender transition, depending on the nature of the amendment requested.
decoration image

Form Submission Methods

Individuals can submit the completed NC-312 form online through California Courts' electronic filing systems, by mail to the appropriate judicial office, or in-person at designated court locations. It is crucial to follow submission guidelines precisely to avoid processing delays.

be ready to get more

Complete this form in 5 minutes or less

Get form

Got questions?

We have answers to the most popular questions from our customers. If you can't find an answer to your question, please contact us.
Contact us
Important information for your Civil Marriage Ceremony with our office: 1. The marriage license can be obtained on the same day as your scheduled ceremony. If you wish to obtain your marriage license before your ceremony, please arrive 30 minutes before your scheduled appointment time.
The marriage license fee is $60. Add $10 if a certified copy is needed for a total of $70. The marriage license may be used in any county within the state. It is only valid for ceremonies held in NC.
Applicants for a marriage license must pay a fee and fill out a form stating their names, ages, marital status, and intention to marry. Applicants must provide either a Social Security number or a docHubd statement that the applicant is ineligible to receive a Social Security number.
A premarital medical examination is not required. The marriage license fee is $60 (check, cash, or credit card). The license is immediately usable upon issuance and is valid for 60 days.
Immediate Issuance In California, some counties offer same-day issuance for marriage certificates. If youre in a rush, you can get your certificate on the same day you apply. Counties like San Bernardino, Orange, and San Diego are known for their efficient same-day processes.

Security and compliance

At DocHub, your data security is our priority. We follow HIPAA, SOC2, GDPR, and other standards, so you can work on your documents with confidence.

Learn more
ccpa2
pci-dss
gdpr-compliance
hipaa
soc-compliance
be ready to get more

Complete this form in 5 minutes or less

Get form