RFP Title: Bulk Paper and Storage 2026

Get Form
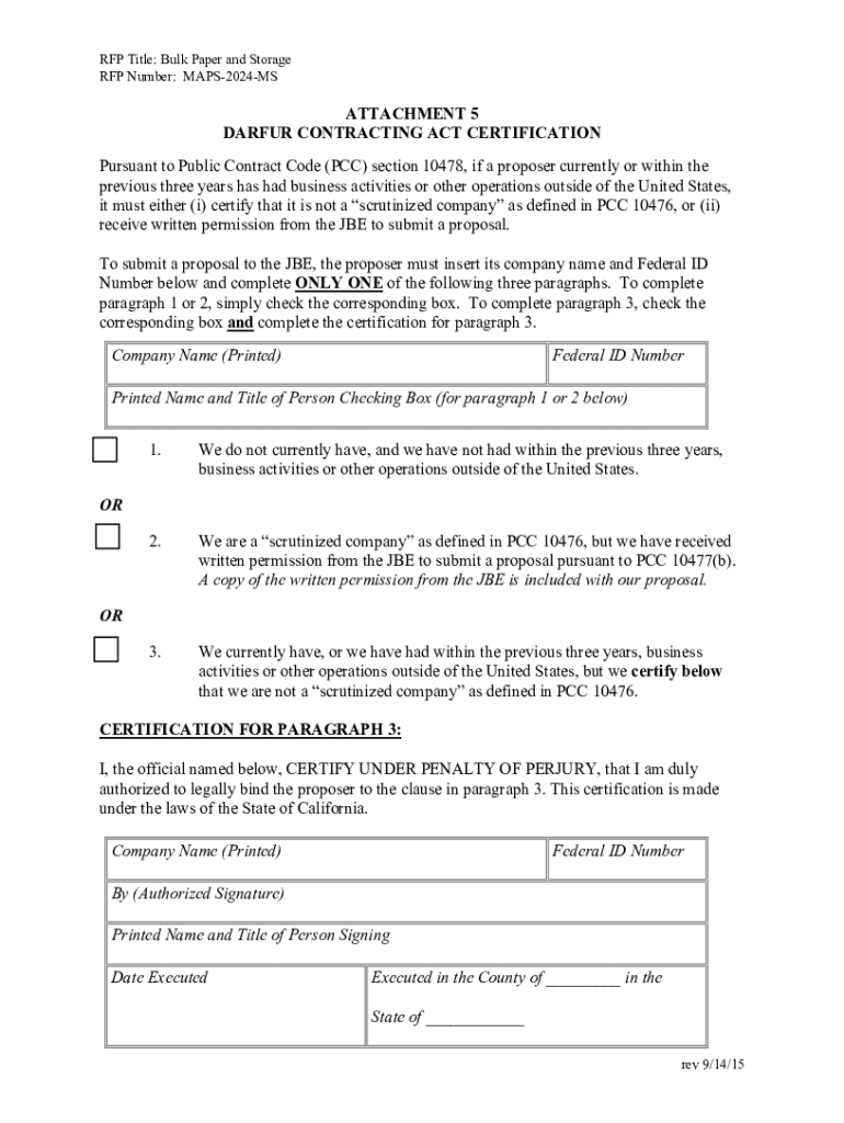
RFP Title: Bulk Paper and Storage Preview on Page 1

Here's how it works

01. Edit your form online
Type text, add images, blackout confidential details, add comments, highlights and more.
02. Sign it in a few clicks
Draw your signature, type it, upload its image, or use your mobile device as a signature pad.
03. Share your form with others
Send it via email, link, or fax. You can also download it, export it or print it out.

Definition & Meaning

The RFP titled "Bulk Paper and Storage" (RFP Number: MAPS-2024-MS) is a request for proposals that seeks companies to provide bulk paper and storage solutions. It serves as a formal invitation for companies to submit their business proposals in accordance with specified requirements and standards. This RFP is structured to evaluate procurement needs while ensuring compliance with necessary regulations like the Darfur Contracting Act, thus safeguarding against unethical practices by requiring proposers to certify their business activities outside the U.S.

How to Use the RFP Title: Bulk Paper and Storage

Organizations interested in providing bulk paper and storage must review the RFP thoroughly to understand its specifications and expectations. The document outlines the objectives, evaluation criteria, and submission guidelines. Proposers should ensure that they meet all qualifications and are able to offer competitive and compliant solutions. Following the outlined procedures, the proposal should include detailed information such as company background, technical capabilities, and pricing strategies.

Steps to Complete the RFP Title: Bulk Paper and Storage

  1. Review the RFP Requirements: Carefully read through the document to understand the key elements and compliance requirements.
  2. Gather Necessary Information: Collect data pertaining to your company’s qualifications, capabilities, and pricing strategies.
  3. Certification: Complete the certification section regarding the Darfur Contracting Act by providing necessary details about your company’s operations outside the U.S. and its scrutinized status.
  4. Prepare Proposal: Structure your proposal to address each requirement mentioned in the RFP.
  5. Submit Proposal: Follow submission guidelines strictly, ensuring all required documents are included. Pay attention to deadlines to avoid disqualification.

Key Elements of the RFP Title: Bulk Paper and Storage

  • RFP Number and Title: Provides a unique identifier to streamline reference and tracking.
  • Certification Requirement: Mandates compliance with the Darfur Contracting Act.
  • Company Information: Requires details like company name and Federal ID number.
  • Proposal Format and Submission Guidelines: Specifies the structure, format, and mode of submission for the proposals.

Who Typically Uses the RFP Title: Bulk Paper and Storage

This RFP is primarily targeted at vendors and service providers capable of supplying large volumes of paper and storage solutions. Typically, these entities include stationery suppliers, warehousing companies, and logistics firms looking to establish contracts with organizations seeking to streamline their procurement processes. Engaging with such RFPs allows these businesses to expand their clientele and demonstrate their operational capabilities in dealing with bulk orders.

decoration image ratings of Dochub

Legal Use of the RFP Title: Bulk Paper and Storage

The legal landscape surrounding this RFP includes various compliance standards, such as the Darfur Contracting Act. Proposers must confirm their non-involvement in scrutinized business practices as defined by California law. This legal requirement enforces ethical standards and accountability, ensuring that all business activities connected to the RFP maintain a high ethical standard.

Important Terms Related to RFP Title: Bulk Paper and Storage

  • Darfur Contracting Act: A regulation prohibiting contracts with companies engaged in certain activities in Sudan.
  • Scrutinized Company: Defined under California law as an entity involved in questionable business practices within specific regions.
  • Federal ID Number: A unique identifier required for company validation.

Examples of Using the RFP Title: Bulk Paper and Storage

Organizations might respond to this RFP by highlighting previous contracts where they successfully managed large-scale paper supply and storage. For instance, a company might document a case where they fulfilled an order involving multi-location delivery and setup of storage solutions, emphasizing logistical coordination and cost-effectiveness. Another example could include a vendor showcasing how their proprietary storage solutions minimized waste and optimized space usage for large-scale clients.

Required Documents

To submit a compliant bid for the RFP, companies must include documentation such as proof of company registration, Federal ID number, and certifications pertaining to the Darfur Contracting Act. Detailed descriptions of the proposed solutions, including pricing and methodologies, must be thoroughly documented. Additionally, evidence of past performance and references can strengthen the proposal by demonstrating competence and reliability.

Software Compatibility and Integration

While the RFP itself does not typically require specific software utilization, responding companies need to ensure that document preparations and submissions are compatible with platforms like DocHub, as this facilitates seamless editing, signing, and collaboration. Utilizing such software avoids unnecessary conversion steps and ensures secure and efficient document management.

Penalties for Non-Compliance

Failing to adhere to the guidelines and requirements detailed in the RFP can result in disqualification from the bidding process. Further, companies providing false certifications under the Darfur Contracting Act might face legal repercussions, including potential fines. Ensuring thorough understanding and compliance is critical for maintaining a viable bid.

Application Process & Approval Time

Proposals are reviewed based on adherence to submission guidelines, quality, and relevance of the proposed solutions. The approval process involves multiple stages including pre-evaluation checks, detailed scrutiny by an evaluation panel, and possibly a round of negotiation or clarifications. Typically, applicants can expect a notification regarding the status of their submission within a few weeks post-deadline, though exact timelines can vary depending on the complexity and volume of submissions received.

be ready to get more

Complete this form in 5 minutes or less

Get form

Got questions?

We have answers to the most popular questions from our customers. If you can't find an answer to your question, please contact us.
Contact us
Philanthropy News Digest publishes Requests for Proposals (RFPs) and notices of awards as a free service for U.S.-based nonprofit and grantmaking organizations.
All of these objectives can be met in a relatively brief document. Many of the outstanding RFPs we received are five to ten pages. If you include these ideas in your next RFP, youll have happy applicants and set the stage for a successful project.
Heres a bullet list of ten essential elements for a comprehensive RFP: Purpose of the RFP. Project Overview. Scope of Work (SOW) Project Timeline. Budget Information. Evaluation Criteria. Submission Guidelines. Potential Challenges.
One of the most important parts of writing an RFP is the actual description of the project itself and its goals. Make this section highly detailed so vendors know exactly what you are looking for and if they can meet those needs. Rememberthe more specific you can be, the better quality of your received bids.

Security and compliance

At DocHub, your data security is our priority. We follow HIPAA, SOC2, GDPR, and other standards, so you can work on your documents with confidence.

Learn more
ccpa2
pci-dss
gdpr-compliance
hipaa
soc-compliance
be ready to get more

Complete this form in 5 minutes or less

Get form