Type text, add images, blackout confidential details, add comments, highlights and more.
02. Sign it in a few clicks
Draw your signature, type it, upload its image, or use your mobile device as a signature pad.
03. Share your form with others
Send mn llc renewal online via email, link, or fax. You can also download it, export it or print it out.
How to use or fill out Minnesota LLC Search with our platform
Ease of Setup
DocHub User Ratings on G2
Ease of Use
DocHub User Ratings on G2
Click ‘Get Form’ to open the Minnesota LLC Search in the editor.
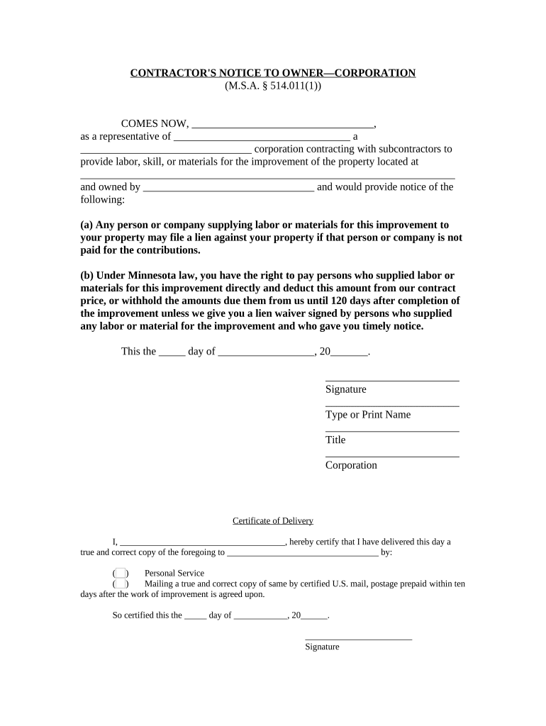
Begin by entering your name and the name of your corporation in the designated fields. Ensure that all information is accurate to avoid any issues.
Fill in the property address where the improvement will take place. This is crucial for identifying the location related to your notice.
In section (a), acknowledge that any person or company supplying labor or materials may file a lien if not paid. This informs property owners of their rights.
Complete section (b) by noting that under Minnesota law, you can pay suppliers directly and deduct this from your contract price, unless a lien waiver is provided.
Sign and date the document at the bottom, ensuring all required signatures are included for validity.
For delivery certification, fill out your name and certify how you delivered a copy of this notice, selecting either personal service or mailing.
Start using our platform today to streamline your Minnesota LLC Search process for free!
Minnesota businesses must file renewals every year to remain active. This page contains the instructions to renew your business, or to change your filing if necessary.
Do I need to renew my LLC every year in Minnesota?
The secretary of state of Minnesota is a constitutional officer in the executive branch of government of the U.S. state of Minnesota. Twenty-two individuals have held the office of secretary of state since statehood. The incumbent is Steve Simon, a member of the Minnesota Democratic-Farmer-Labor Party.
Is there an annual fee for an LLC in Minnesota?
There is no fee for filing the annual renewal if the entity is active and in good standing. An entity that has been dissolved by our office for failure to file an annual renewal, may retroactively reinstate its existence by filing the current years renewal and pay the applicable fee.
Do you ever have to renew your LLC?
Registered Limited Liability Companies (LLCs) are required to renew their registration, which is an important step in remaining compliant with applicable laws and regulations. Nearly every state calls for some type of renewal filing for LLCs and renewal requirements vary significantly from state to state.
How much does it cost to reinstate an LLC in Minnesota?
Domestic Reinstatement / Revival for Limited Partnerships: Filing Method: Mail, in-person or online. Agency Fee: $25 by mail or $45 for online or expedited filing.
secretary of state mn llc renewal
MN business name searchMN business license LookupMinnesota Secretary of State business RegistrationTexas business entity searchMN Secretary of State loginMN Secretary of State - business renewalMinnesota Secretary of State phone numberSecretary of State business lookup
Security and compliance
At DocHub, your data security is our priority. We follow HIPAA, SOC2, GDPR, and other standards, so you can work on your documents with confidence.
Minnesota businesses must file renewals every year to remain active.
How do I look up an LLC in Minnesota?
To look up an LLC in Minnesota, visit the Minnesota Secretary of States website and search for the business name. Minnesota search LLC options include name search and file number search.
llc in minnesota
Minnesota Secretary Of State - Home
Renew A Business Business Appointments Register A Business Search For A Business Search And File Liens Minnesota Business Snapshot Become A Notary
Cookie consent notice
This site uses cookies to enhance site navigation and personalize your experience.
By using this site you agree to our use of cookies as described in our Privacy Notice.
You can modify your selections by visiting our Cookie and Advertising Notice.