Vermont Lease Termination Letter Form60 or 90 Day Notice 2026

Get Form
Vermont Lease Termination Letter Form60 or 90 Day Notice Preview on Page 1

Here's how it works

01. Edit your form online
Type text, add images, blackout confidential details, add comments, highlights and more.
02. Sign it in a few clicks
Draw your signature, type it, upload its image, or use your mobile device as a signature pad.
03. Share your form with others
Send it via email, link, or fax. You can also download it, export it or print it out.

Definition & Purpose of the Vermont Lease Termination Letter Form

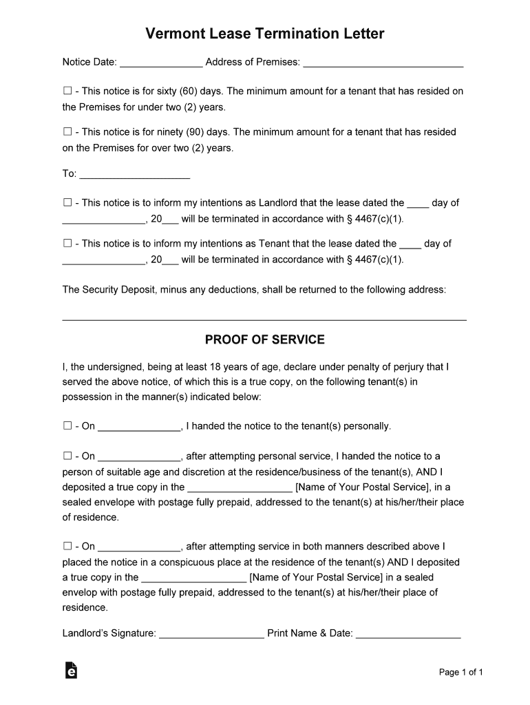
The Vermont Lease Termination Letter, commonly referred to as the 60 or 90 Day Notice, is a formal document used by either landlords or tenants to formally terminate a lease agreement. This letter serves as an official record of the intention to end the lease, ensuring both parties are legally informed and agree to the termination. It is especially crucial in clarifying the terms under which the termination occurs, such as the required notice period, to avoid potential disputes.

Frequently Used Terms in Lease Termination

  • Notice Period: Refers to the legally required time frame between notifying the other party of the intention to terminate the lease and the actual termination date.
  • Security Deposit: A monetary deposit that is held as a safeguard against damages to the property and is typically returned at lease end, provided all conditions are met.
  • Proof of Service: Documentation that verifies the lease termination letter has been delivered to the appropriate party.

Obtaining the Vermont Lease Termination Letter Form

Securing the Vermont Lease Termination Letter Form is a straightforward process:

  1. Official Sources: Often, templates are available directly from governmental or local housing authority websites, ensuring compliance with state-specific regulations.
  2. Legal Document Services: Platforms like DocHub provide customizable templates that can be filled out and tailored to specific needs.
  3. Legal Assistance: Engaging with a legal professional can provide custom-drafted letters that cater to unique situations.

Ensuring you obtain the correct form is essential to maintain legal standing and adhere to Vermont's rental laws.

State-Specific Rules for Vermont

Vermont mandates distinct requirements for lease terminations:

  • 60-Day Notice: Generally applies to tenants who have resided in the property for less than two years.
  • 90-Day Notice: Required for tenancies exceeding two years.

These rules are designed to provide sufficient time for both parties to make necessary arrangements without undue pressure.

Completing the Vermont Lease Termination Letter Form

Filling out the Vermont Lease Termination Letter requires attention to detail:

  1. Identify Parties: Clearly list the landlord's and tenant's full legal names and contact information.
  2. Lease Details: Include the property address, lease start date, and intended termination date.
  3. Notice Period: Clearly specify the applicable notice period, whether 60 or 90 days.

Essential Elements of the Form

  • Effective Date: Clearly state the intended date of lease termination.
  • Signature: Both parties should sign to confirm agreement and understanding.
  • Delivery Method: Note the method by which the letter was delivered, ensuring proof of service if needed.

Legal Use and Implications

The use of the Vermont Lease Termination Letter:

  • Protects Rights: Ensures compliance with state law, protecting both landlord and tenant rights.
  • Prevents Disputes: Properly executed notices help avoid legal disputes related to premature lease termination.

Penalties for Non-Compliance

Failure to comply with the statutory requirements may result in:

  • Financial Penalties: Potential fines or loss of security deposit for tenants.
  • Legal Actions: Landlords may face legal challenges if the termination is not handled correctly.

Typical Users of the Vermont Lease Termination Letter Form

This form is used by:

  • Landlords terminating leases due to property management decisions or tenant violations.
  • Tenants seeking to end a tenancy, often due to relocation or personal preferences.

Eligible Scenarios

  • Sale of Property: When landlords decide to sell, necessitating termination.
  • Tenant Relocation: When tenants move for job-related reasons or need a different housing arrangement.

Practical Examples and Scenarios

Real-world applications of the lease termination form are diverse:

  • Tenant Decision: A tenant in Vermont decides to move and serves a 60-Day Notice, aligning with their one-year residency.
  • Landlord’s Plan: A landlord decides to renovate the rental, requiring termination to proceed.

These examples illustrate how the letter formalizes the process and ensures all parties are on the same page.

be ready to get more

Complete this form in 5 minutes or less

Get form

Got questions?

We have answers to the most popular questions from our customers. If you can't find an answer to your question, please contact us.
Contact us
achkarlaw-admin2025-09-02T16:24:13-04:00. A termination letter is an employers formal notice to an employee that their employment is ending. It should clearly outline the reasons for termination, the effective date, and details about final pay, benefits, and any severance entitlements.
If you want to move out, you must give notice. If your rental agreement says how much notice you must give and how you must give it, you must do what the agreement says. The notice must be in writing. Keep a copy for yourself. Mail or hand deliver the notice to your landlord. 9 V.S.A.
Your notice period should be written in your tenancy agreement. Add 2 days to your notice period to give your landlord time to receive your letter or email. Im writing to you to end my tenancy at . I have checked the legal notice period, and Im giving notice to end my tenancy.
90-day notice to quit (Section 8 housing) It tells the tenant they must move out within 90 days. ⚠️ You must have a legal reason (just cause) to ask the tenant to move. Your notice must include: The date the tenancy will end.
Vermont is an at-will employment state. An employee may be discharged at any time with or without cause unless there is a clear and compelling public policy against the reason for the discharge or if the relationship has been modified, such as via an express or implied contract (including employer policies).

Security and compliance

At DocHub, your data security is our priority. We follow HIPAA, SOC2, GDPR, and other standards, so you can work on your documents with confidence.

Learn more
ccpa2
pci-dss
gdpr-compliance
hipaa
soc-compliance
be ready to get more

Complete this form in 5 minutes or less

Get form

People also ask

Dear [Tenants Name], This letter serves as formal notice that your lease agreement for [property address] will terminate on [termination date]. This notice complies with the [state-required notice period]-day requirement specified in our lease agreement.
I shall terminate my tenancy on , 20 and shall give up possession of the premises by 1 pm on that date or sooner. 2. I agree that I will leave the rented premises in a good state of repair and cleanliness.
Termination of your tenancy is not the same as eviction: When your tenancy is terminated, you receive a notice from the landlord, possibly a second chance to pay your rent, and (if you cant pay the rent or you arent eligible for a second chance) a deadline by which you must move out.

Related links