How file petition menacing dog california 1990 form-2026

Get Form
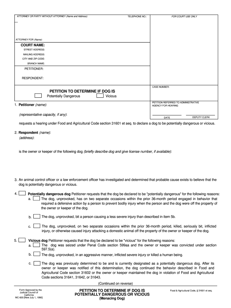
how file petition menacing dog california 1990 form Preview on Page 1

Here's how it works

01. Edit your form online
Type text, add images, blackout confidential details, add comments, highlights and more.
02. Sign it in a few clicks
Draw your signature, type it, upload its image, or use your mobile device as a signature pad.
03. Share your form with others
Send it via email, link, or fax. You can also download it, export it or print it out.

Definition & Meaning

The "how file petition menacing dog California 1990 form" is a legal document used in the state of California to request a hearing to determine whether a dog is potentially dangerous or vicious. This form helps protect public safety by providing a formal process to address incidents involving dogs that may pose a threat. The form includes sections for both the petitioner and the respondent, details about the specific dog in question, and requires supporting documents to substantiate the claims.

How to Use the Form

To utilize the form effectively, the petitioner must fill out specific sections that detail the incident involving the dog. This includes providing personal contact information, a description of the incident, and any evidence that supports the claim of the dog being menacing or dangerous. Notably, the form must be completed accurately and thoroughly to help the review process during the hearing. Each section should be filled with care to ensure all relevant information is captured.

Key Sections of the Form

  • Petitioner Information: Personal details and contact information.
  • Respondent Information: Details about the dog owner or possessor.
  • Incident Description: A narrative of the event(s) that led to the petition.
  • Evidence and Documentation: Attach any photos, medical reports, or witness statements relevant to the case.

Steps to Complete the Form

  1. Gather Necessary Information: Collect all details about the incident, including the location, date, time, and involved parties.
  2. Fill Out Petitioner Details: Include your name, address, and contact information.
  3. Describe the Incident: Provide a detailed account of what occurred, emphasizing facts and specifics.
  4. Submit Evidence: Attach supporting documents, such as veterinary reports or insurance claims that support your petition.
  5. Review and Submit: Double-check all entries for accuracy and completeness before submitting the form to the appropriate legal authority in your jurisdiction.

Legal Use of the Form

Legally, the completion of this form initiates a proceeding under California law to evaluate the behavior of a dog suspected of being dangerous. The outcome of this process can lead to various results, ranging from mandated behavioral training to the potential removal of the dog from the owner’s custody. The form serves as a starting point in the adjudication process, designed to ensure public safety and the orderly adjudication of potentially dangerous situations.

Important Terms Related to the Form

Understanding the terminology used within the form is crucial for accurate completion. Important terms include:

  • Petitioner: The individual filing the form.
  • Respondent: The owner or possessor of the dog in question.
  • Menace/Dangerous Dog: Terms used to describe a dog that has exhibited threatening behavior.
  • Incident: The event where the dog exhibited dangerous behavior, leading to filing the petition.

Key Elements of the Form

Certain elements are critical to the form's validity and effectiveness:

  • Detailed Incident Report: Objective description with precise details.
  • Witness Testimonies: Statements from individuals who witnessed the incident can provide additional credibility.
  • Supportive Documentation: Records or photographs demonstrating the severity or impact of the dog's actions.
  • Signature and Date: The petition must be signed and dated by the petitioner to verify its authenticity.

Required Documents

Filing this petition efficiently requires collecting several key documents:

  • Photographs of Injuries or Damages: Visual evidence of any harm caused.
  • Medical or Veterinary Reports: Documentation of injuries sustained by people or animals.
  • Witness Statements: Affidavits or informal testimonies from those who saw the incident unfold.
  • Previous Complaints or Reports: If applicable, include reports of past incidents involving the same dog to establish a pattern of behavior.

Form Submission Methods

Once completed, the form can typically be submitted through various channels, depending on the local authority's preferences:

  • Online: Digital submissions may be possible via a local jurisdiction’s official website.
  • Mail: Forms can be mailed to the designated legal office handling such cases.
  • In-Person: Direct submission at the relevant municipal or county office is also an option, allowing for immediate feedback or confirmation of receipt.

State-Specific Rules for the Form

California may have particular state-specific regulations governing how these petitions are handled:

  • Specific deadlines for filing the petition after an incident occurs to ensure timeliness.
  • Local ordinances that define what constitutes a "menacing" or "dangerous" dog.
  • Different counties may have additional forms or supplementary documents required based on local laws.

By understanding these various aspects, petitioners can appropriately file the "how file petition menacing dog California 1990 form," ensuring that their concerns are addressed according to the legal framework designed to maintain community safety.

See more how file petition menacing dog california 1990 form versions

We've got more versions of the how file petition menacing dog california 1990 form form. Select the right how file petition menacing dog california 1990 form version from the list and start editing it straight away!
Versions Form popularity Fillable & printable
2018 4.9 Satisfied (45 Votes)
2017 3.7 Satisfied (34 Votes)
1990 4.2 Satisfied (60 Votes)
be ready to get more

Complete this form in 5 minutes or less

Get form

Got questions?

We have answers to the most popular questions from our customers. If you can't find an answer to your question, please contact us.
Contact us
Some states, like California and Illinois, require reporting for all bites, whereas Texas and Arizona tie the requirement to the risk of disease or the breaking of skin. Regardless of the nuances, these laws underscore the serious public health and safety considerations associated with dog bites.
If you report it to the police, they will go over and do an assessment on the dog to see if it is dangerous or not. Depending on their findings they could issue a control order with appropriate conditions or it could end with no further action. With it happening in the home its a bit difficult for them to do much else.
According to California Food and Agricultural Code 31603, a dog is considered legally vicious if: It inflicts severe injury on or kills a human being, without provocation.
Stay Calm : Try to remain as calm as possible. Avoid Eye Contact : Direct eye contact may be perceived as a challenge. Use Your Voice : Firmly command the dog to ``sit or ``stay. Sometimes, a strong voice can deter an aggressive dog. Protect Yourself Back Away Slowly Use Objects as Shields Defend Yourself Seek Help
Research local rescues and start docHubing out to them. Ditto any no shelters in your area. If the dogs are actually aggressive/dangerous you may have no choice but to surrender them to animal control.

Security and compliance

At DocHub, your data security is our priority. We follow HIPAA, SOC2, GDPR, and other standards, so you can work on your documents with confidence.

Learn more
ccpa2
pci-dss
gdpr-compliance
hipaa
soc-compliance

People also ask

Call the Dog Law Enforcement Office When notifying the office, be prepared to give a detailed account of the attack. You also can file a complaint about a dog online through the Dog Law Enforcement Offices dog law complaint form.

Related links