01. Edit your power of attorney for trustee of trust form online
Type text, add images, blackout confidential details, add comments, highlights and more.
02. Sign it in a few clicks
Draw your signature, type it, upload its image, or use your mobile device as a signature pad.
03. Share your form with others
Send trust power of attorney form via email, link, or fax. You can also download it, export it or print it out.
How to use or fill out poa trust with our platform
Ease of Setup
DocHub User Ratings on G2
Ease of Use
DocHub User Ratings on G2
Click ‘Get Form’ to open the poa trust document in the editor.
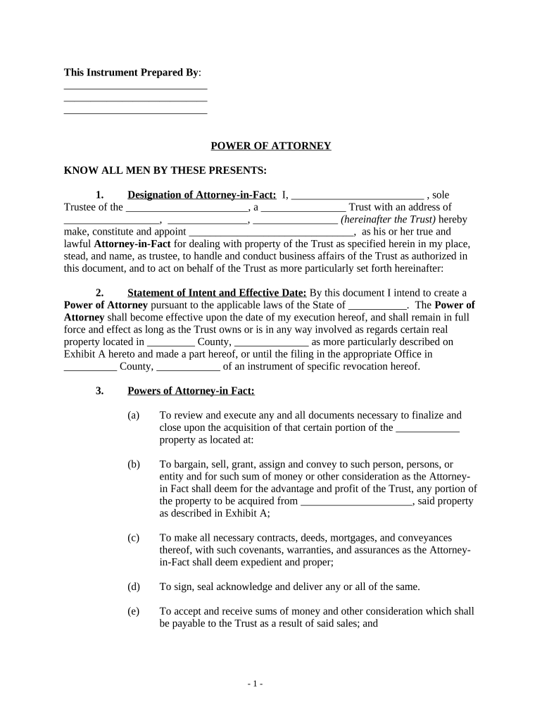
Begin by filling in your name as the sole Trustee in the designated area. This identifies you as the person granting authority.
In the 'Designation of Attorney-in-Fact' section, enter the name of the individual you are appointing to act on behalf of the Trust.
Specify the effective date and ensure it aligns with your intentions regarding property management. Fill in relevant details about the property located in ____ County.
Review each power granted to the Attorney-in-Fact, ensuring they align with your wishes for managing Trust assets. Adjust any language if necessary.
Complete administrative provisions, confirming that you understand compensation and jurisdictional validity.
Finally, sign and date the document, ensuring witnesses are present as required by your state’s laws.
Start using our platform today to easily complete your poa trust form online for free!
Typically, a power of attorney (POA) is not named for a trust. Nevertheless, there could be circumstances when you might want to designate the same individual as your trustee and as your attorney in fact. A POA is legal documentation that provides someone other than you the authorization to act on your behalf.
What is the biggest mistake parents make when setting up a trust fund?
A trustee holds the authority to manage and distribute trust assets as outlined in the trust document. This includes making investments, paying bills, and making distributions to beneficiaries. However, these powers are subject to local laws and any specific court orders.
Who holds the real power in a trust, the trustee or the beneficiary?
When someone makes you the agent in their power of attorney, you cannot: Write a will for them, nor can you edit their current will. Take money directly from their bank accounts. Make decisions after the person you are representing dies. Give away your role as agent in the power of attorney.
Can a trust give a power of attorney?
Can a Trustee appoint a Power of Attorney? Generally speaking, a Trustee (who is not also the Grantor) cannot appoint a Power of Attorney to take over the Trustees duties or responsibilities, unless this is something that is directly permitted by the Trust Deed or a court order.
What is the meaning of POA?
Generally, a designated agent of a power of attorney has much more freedom to manage all your finances and assets as they see fit. A living trust gives a trustee very while a power of attorney gives an agent more power to manage all your finances as they see fit.
Related Searches
Poa trust vs trustHow to get a poa trustCan someone be a power of attorney on a trustPower of attorney and trustee conflict of interestCan a power of attorney sign for a trustee of a trustDo you need a power of attorney if you have a living trustPower of attorney for trustee of trust formLiving trust POA
Security and compliance
At DocHub, your data security is our priority. We follow HIPAA, SOC2, GDPR, and other standards, so you can work on your documents with confidence.
This publication explains how to give another person the authority to make financial decisions for you through a legal document known as a power of attorney.
Jan 30, 2024 A power of attorney is a legal document that allows someone else to act on your behalf. A power of attorney can be helpful to older people and others.
Cookie consent notice
This site uses cookies to enhance site navigation and personalize your experience.
By using this site you agree to our use of cookies as described in our Privacy Notice.
You can modify your selections by visiting our Cookie and Advertising Notice.