Mn husband wife 2026

Get Form
nick firkus second wife Preview on Page 1

Here's how it works

01. Edit your nick firkus second wife online
Type text, add images, blackout confidential details, add comments, highlights and more.
02. Sign it in a few clicks
Draw your signature, type it, upload its image, or use your mobile device as a signature pad.
03. Share your form with others
Send nick firkus' second wife via email, link, or fax. You can also download it, export it or print it out.

How to use or fill out mn husband wife with our platform

Form edit decoration
9.5
Ease of Setup
DocHub User Ratings on G2
9.0
Ease of Use
DocHub User Ratings on G2
  1. Click ‘Get Form’ to open it in the editor.
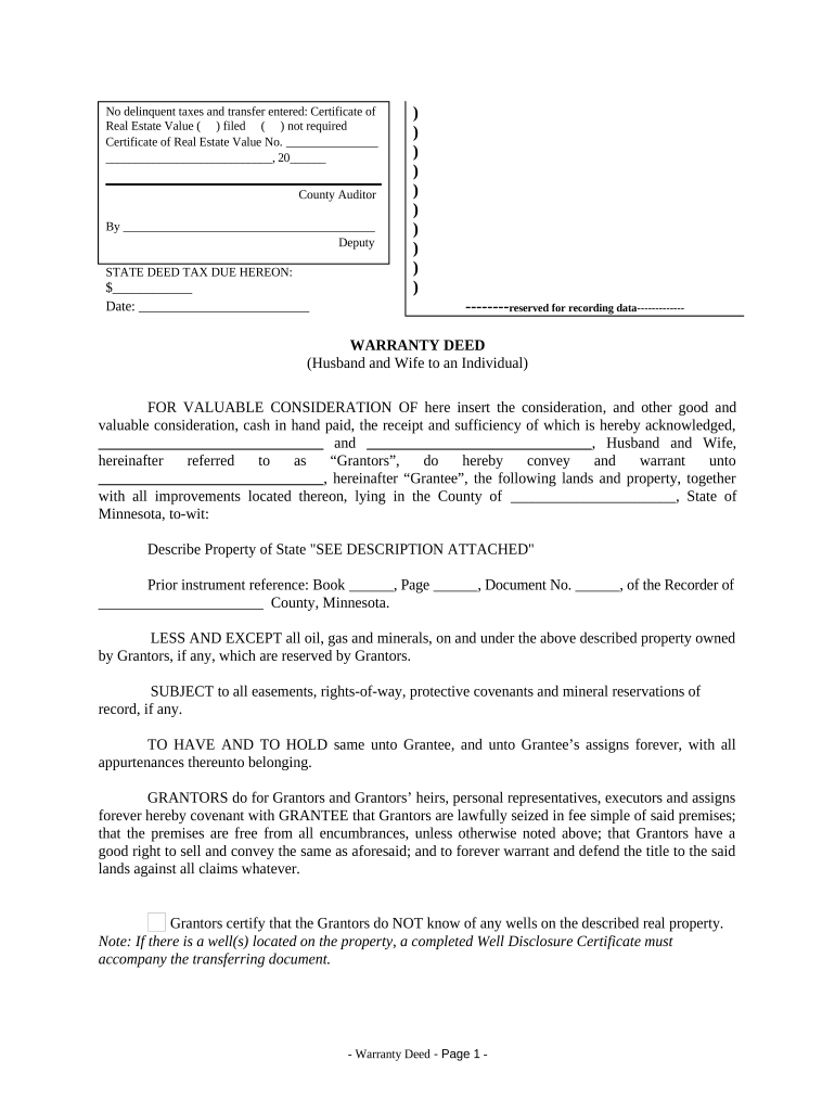
  2. Begin by entering the date at the top of the form, ensuring it reflects the current date of signing.
  3. In the 'Grantors' section, input the names of both husband and wife as they wish to appear on the deed.
  4. Fill in the 'Grantee' section with the name of the individual receiving the property.
  5. Describe the property being conveyed in detail, or attach a description if necessary.
  6. Complete any additional fields regarding prior instruments and encumbrances as applicable.
  7. Both grantors should sign and type their names at the bottom of the form, confirming their agreement.
  8. If applicable, have a notary public acknowledge your signatures by filling out that section.

Start using our platform today for free to streamline your document editing and signing process!

be ready to get more

Complete this form in 5 minutes or less

Get form

Got questions?

We have answers to the most popular questions from our customers. If you can't find an answer to your question, please contact us.
Contact us
No, you do not become legally married in California simply by living together for 7 years or any other length of time. The 7-year common law marriage is a persistent myth. California does not recognize common law marriage established within its borders, regardless of how long a couple cohabitates.
In Minnesota, common law marriage laws were abolished back in 1941.
However, Minnesota courts dont recognize financial or property claims between unmarried couples. If you and your partner are unmarried and break up, theres no guarantee that your assets will be divided fairlyno matter how long youve been together.
The Minnesota Legislature abolished it in 1941. This means that no matter how long you and your partner have lived together or how closely your relationship resembles a marriage, Minnesota courts will not consider you legally married unless you have obtained a valid marriage license and had a legal ceremony.
Common-Law Marriage in Minnesota This means that no matter how long you and your partner have lived together or how closely your relationship resembles a marriage, Minnesota courts will not consider you legally married unless you have obtained a valid marriage license and had a legal ceremony.

Security and compliance

At DocHub, your data security is our priority. We follow HIPAA, SOC2, GDPR, and other standards, so you can work on your documents with confidence.

Learn more
ccpa2
pci-dss
gdpr-compliance
hipaa
soc-compliance