Quitclaim Deed from Individual to Individual - Wisconsin 2026

Get Form
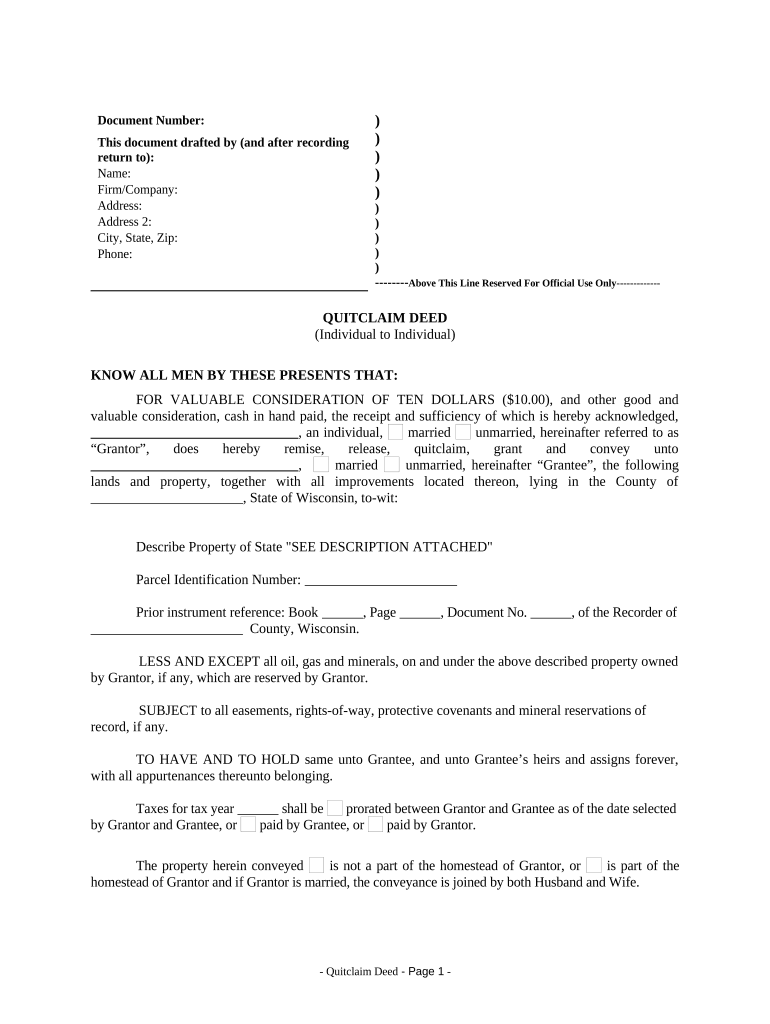
quit claim deed wisconsin Preview on Page 1

Here's how it works

01. Edit your quit claim deed wisconsin online
Type text, add images, blackout confidential details, add comments, highlights and more.
02. Sign it in a few clicks
Draw your signature, type it, upload its image, or use your mobile device as a signature pad.
03. Share your form with others
Send it via email, link, or fax. You can also download it, export it or print it out.

How to use or fill out Quitclaim Deed from Individual to Individual - Wisconsin with our platform

Form edit decoration
9.5
Ease of Setup
DocHub User Ratings on G2
9.0
Ease of Use
DocHub User Ratings on G2
  1. Click ‘Get Form’ to open the Quitclaim Deed in the editor.
  2. Begin by entering the document number and the details of the drafter, including their name, firm/company, address, and phone number.
  3. In the 'Grantor' section, specify the name of the individual transferring property. Indicate their marital status as either married or unmarried.
  4. Next, fill in the 'Grantee' section with the name of the individual receiving the property and their marital status.
  5. Describe the property being transferred. If necessary, attach a detailed description and include the Parcel Identification Number.
  6. Indicate any exceptions regarding oil, gas, and minerals that are reserved by the Grantor.
  7. Specify how taxes will be handled for the tax year indicated.
  8. Have both Grantor(s) sign and date at the bottom of page one. Ensure to complete notary acknowledgment if required.

Start using our platform today to easily complete your Quitclaim Deed for free!

be ready to get more

Complete this form in 5 minutes or less

Get form

Got questions?

We have answers to the most popular questions from our customers. If you can't find an answer to your question, please contact us.
Contact us
Property Deed Cost A property deed can cost between $50 to $200 for charges associated with the legal document that transfers the title to real estate from one person to another.
Simple family transfers: Can often be completed in a few days with proper paperwork. Transfers through probate: May take several months to over a year, depending on the estates complexity. Quitclaim deed transfers: Typically processed quickly, as long as the documentation is complete.
Since the deed offers no legal protection, there is little recourse if issues arise after the transfer. These risks make it essential to consult a qualified Quitclaim Deed Attorney before proceeding.
Who can prepare a quitclaim deed in Wisconsin? An attorney usually drafts a quitclaim deed alongside the grantor to ensure it meets all legal requirements.

Security and compliance

At DocHub, your data security is our priority. We follow HIPAA, SOC2, GDPR, and other standards, so you can work on your documents with confidence.

Learn more
ccpa2
pci-dss
gdpr-compliance
hipaa
soc-compliance