Buma harmless agreement 2026

Get Form
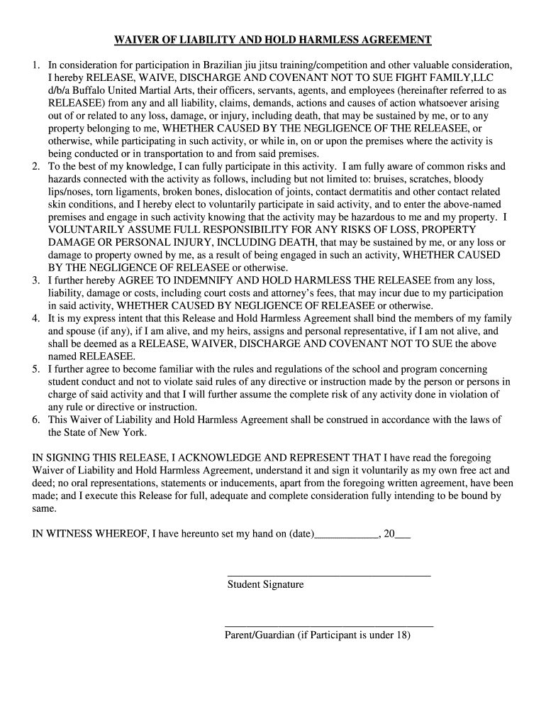
hold harmless agreement Preview on Page 1

Here's how it works

01. Edit your hold harmless agreement online
Type text, add images, blackout confidential details, add comments, highlights and more.
02. Sign it in a few clicks
Draw your signature, type it, upload its image, or use your mobile device as a signature pad.
03. Share your form with others
Send hold harmless agreement in banking via email, link, or fax. You can also download it, export it or print it out.

How to use or fill out buma harmless agreement with our platform

Form edit decoration
9.5
Ease of Setup
DocHub User Ratings on G2
9.0
Ease of Use
DocHub User Ratings on G2
  1. Click ‘Get Form’ to open the buma harmless agreement in the editor.
  2. Begin by filling in your name and the date at the top of the form. This personalizes the document and ensures it is specific to you.
  3. In Section 1, read through the liability waiver carefully. Confirm your understanding of the risks involved in Brazilian jiu jitsu training and competition.
  4. Proceed to Section 2, where you will acknowledge your awareness of potential hazards. Check any applicable boxes if provided, or write down any specific risks you are aware of.
  5. In Section 3, sign your name to indicate that you agree to indemnify and hold harmless the releasee from any claims arising from your participation.
  6. If applicable, have a parent or guardian sign in the designated area if you are under 18 years old.
  7. Complete the medical treatment permission form by providing emergency contact information and any relevant health details before submitting it with your registration.

Start using our platform today for free to streamline your document editing and signing process!

be ready to get more

Complete this form in 5 minutes or less

Get form

Got questions?

We have answers to the most popular questions from our customers. If you can't find an answer to your question, please contact us.
Contact us
There are three levels of hold harmless agreements, each of which waives a different level of liability. In order from most to least protective, the three types of indemnity agreements are broad form, intermediate form, and limited form.
In California, a hold harmless agreement is generally enforceableso long as it meets specific legal standards. Courts will uphold these agreements if they are clearly written, voluntarily signed, and do not violate public policy.
A hold harmless agreement, or HHA, is an agreement used to help prevent you or your organization from being held responsible for certain types of bodily injury or property damage. This type of agreement might also be referred to as a liability waiver, disclaimer, hold harmless letter, or release of liability.
The purpose of a hold harmless agreement is to protect a party from unforeseen risks of a contract.
Hold harmless agreements function as a type of insurance, preventing businesses or ordinary people from being held legally responsible for specified losses or damages for which they might otherwise be considered liable. They appear in legal contracts as a clause and must be understood before being signed.

Security and compliance

At DocHub, your data security is our priority. We follow HIPAA, SOC2, GDPR, and other standards, so you can work on your documents with confidence.

Learn more
ccpa2
pci-dss
gdpr-compliance
hipaa
soc-compliance