Form 8846 - Credit for Employer Social Security and-2026

Get Form
8846 tips form Preview on Page 1

Here's how it works

01. Edit your 8846 tips form online
Type text, add images, blackout confidential details, add comments, highlights and more.
02. Sign it in a few clicks
Draw your signature, type it, upload its image, or use your mobile device as a signature pad.
03. Share your form with others
Send 2024 8846 form via email, link, or fax. You can also download it, export it or print it out.

Definition & Meaning

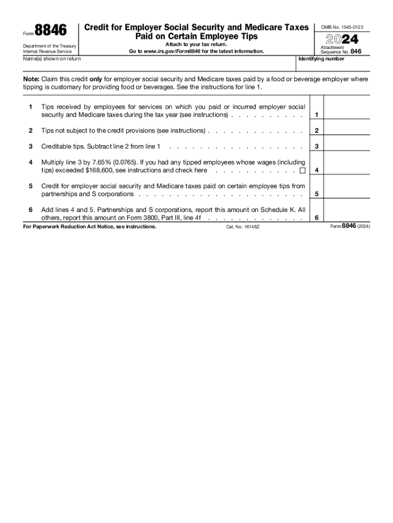
Form 8846, titled "Credit for Employer Social Security and Medicare Taxes Paid on Certain Employee Tips," is a tax form utilized by eligible food and beverage employers in the United States. This form allows these employers to claim a credit for the Social Security and Medicare taxes they pay on tips received by their employees. These tips must be in customary tipping situations, such as restaurants and bars, where tipping is expected by patrons.

Key Features of Form 8846

  • Purpose: Enables employers to claim a tax credit based on taxes paid on employee-received tips.
  • Sector: Primarily used within the food and beverage industry.
  • Eligibility: Employers with tipped employees in customary tipping settings.

How to Obtain Form 8846

Form 8846 can be accessed and downloaded from the official IRS website. Employers can navigate to the IRS forms section and search for "Form 8846." The downloadable PDF format ensures that the form can be printed for manual completion or filled out electronically.

Steps to Access Form 8846

  1. Visit the IRS official website.
  2. Navigate to the "Forms & Instructions" section.
  3. Search for "Form 8846."
  4. Download the PDF version or print a physical copy.

Steps to Complete Form 8846

Filling out Form 8846 requires meticulous attention to detail to ensure that all information provided is accurate and compliant with IRS regulations.

Detailed Completion Process

  1. Enter Business Information: The form begins with general information about the business, including the name, address, and employer identification number (EIN).

  2. Calculate Qualified Tips: Determine the total amount of tips received by employees that are subject to Social Security and Medicare taxes.

  3. Fill in Social Security and Medicare Tax Information: Clearly state the amount of taxes paid on the qualified tips.

  4. Credit Calculation: Use the form’s instructions to calculate the credit amount applicable to your business.

  5. Review and Submit: Double-check all entries for accuracy before submission to the IRS via mail or electronic filing where applicable.

Eligibility Criteria

To accurately make use of Form 8846, employers must meet specific eligibility criteria.

decoration image ratings of Dochub

Specific Eligibility Requirements

  • Business Nature: The form is applicable only to employers in the food and beverage industry.
  • Employees: Employees must regularly receive tips as part of their customary and expected income.
  • Tip Reporting: There must be compliance with the federal requirements regarding employee tip reporting.

IRS Guidelines

The IRS provides comprehensive guidelines that govern the use of Form 8846. These guidelines ensure the correct application of tax credits and compliance with tax laws.

Important IRS Instructions

  • Documentation: Employers are required to maintain detailed records of employee tips and taxes paid.
  • Compliance: Strict adherence to IRS regulations is essential to avoid penalties.
  • Submission Channels: The form can be submitted either digitally through the IRS e-file system or mailed to the designated IRS address.

Filing Deadlines / Important Dates

Timely submission of Form 8846 is pivotal to claim the credit successfully. The form should be filed in conjunction with the employer’s annual tax return.

Key Dates for Filing

  • Annual Filing: Usually coinciding with the tax year-end deadline for businesses.
  • Extensions and Penalties: Late submissions might be penalized unless a formal extension is granted by the IRS.

Required Documents

Completing Form 8846 necessitates the submission of supporting documents that verify the details provided in the form.

Necessary Supporting Documentation

  • Tip Records: Logs showing the total tips received by employees.
  • Tax Payment Proofs: Evidence of the Social Security and Medicare taxes paid on these tips.
  • Payroll Statements: Detailed payroll documents that corroborate the figures reported.

Business Entity Types (LLC, Corp, Partnership)

Different types of business entities, such as LLCs, corporations, and partnerships, may utilize Form 8846, although the applicability of credits might vary based on the business structure.

Impact of Business Structure

  • LLCs and Corporations: These entities can typically take advantage of the credit directly as part of their tax filings.
  • Partnerships: Partnerships are required to flow the credit through to the individual partners who then claim it on their tax returns.

Examples of Using Form 8846

Understanding practical applications of Form 8846 can provide clarity on its use.

Real-World Scenarios

  • Restaurant Chains: Large restaurant chains frequently use this form to claim credits on the substantial tips received by their service staff.
  • Small Cafes: Independent cafes with a tipping culture can lower their tax liabilities by availing of this credit.

With this comprehensive breakdown, employers in the eligible sectors can effectively utilize Form 8846 to maximize their tax credits for Social Security and Medicare taxes on employee tips.

be ready to get more

Complete this form in 5 minutes or less

Get form

Got questions?

We have answers to the most popular questions from our customers. If you can't find an answer to your question, please contact us.
Contact us
The credit depends on the target group the employee belongs to. For example: For most groups (TANF, veterans, ex-felons, designated community residents, vocational rehabilitation referrals, SNAP and SSI recipients, or long-term unemployed people):
The credit lets you reduce your taxable business income by the amount you pay for the employer share of the Social Security and Medicare taxes (FICA tax) on certain employee tips. The employer share of the FICA tax is currently 7.65%. The FICA Tip Credit is a non-refundable, general business tax credit.
Eligible employers may be able to claim a tax credit of up to $5,000, for three years, for the ordinary and necessary costs of starting a SEP, SIMPLE IRA or qualified plan (like a 401(k) plan.) A tax credit reduces the amount of taxes you may owe on a dollar-for-dollar basis.
The Employee Retention Tax Credit (ERC) is a refundable tax credit of up to $26,000 per employee for certain eligible businesses and tax-exempt organizations that paid qualified wages to some or all employees after March 12, 2020, and before January 1, 2022.

Security and compliance

At DocHub, your data security is our priority. We follow HIPAA, SOC2, GDPR, and other standards, so you can work on your documents with confidence.

Learn more
ccpa2
pci-dss
gdpr-compliance
hipaa
soc-compliance