Type text, add images, blackout confidential details, add comments, highlights and more.
02. Sign it in a few clicks
Draw your signature, type it, upload its image, or use your mobile device as a signature pad.
03. Share your form with others
Send it via email, link, or fax. You can also download it, export it or print it out.
How to use or fill out 2007 stormwater annual report - City of Centralia, WA with our platform
Ease of Setup
DocHub User Ratings on G2
Ease of Use
DocHub User Ratings on G2
Click ‘Get Form’ to open the 2007 stormwater annual report in the editor.
Begin with the Permittee Information tab. Fill in details such as Permittee Name, Coverage Number, Contact Name, and Address. Ensure accuracy for effective communication.
Move to the Certification tab. This section requires signatures from responsible officials. Print this page for physical signatures before mailing it to Ecology.
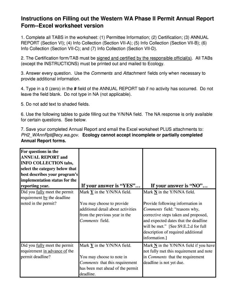
Complete the ANNUAL REPORT section (Section VI). Answer all questions thoroughly, marking 'Y', 'N', or 'NA' as applicable. Use Comments fields judiciously for additional context.
For any sections requiring attachments, ensure you label them clearly according to corresponding question numbers for easy reference.
Once all tabs are completed, save your work and email the entire Excel worksheet along with any attachments to PH2_WAnnRpt@ecy.wa.gov.
Start using our platform today for free and streamline your document editing process!
Fill out 2007 stormwater annual report - City of Centralia, WA online It's free
2007 stormwater annual report city of centralia wa pdf2007 stormwater annual report city of centralia wa 2022
Related links
Financial Statements Audit Report - City of Centralia
Mar 29, 2018 We are issuing this report in order to provide information on the financial condition of the Citys utility funds. Sincerely,. Pat McCarthy.
9: Stormwater Infrastructure - Climate Impacts Group
by EA Rosenberg The historical analyses were based on hourly precipitation records for the time period 19492007 from weather stations surrounding three major metropolitan
This site uses cookies to enhance site navigation and personalize your experience.
By using this site you agree to our use of cookies as described in our Privacy Notice.
You can modify your selections by visiting our Cookie and Advertising Notice.... Read more...Read less