Type text, add images, blackout confidential details, add comments, highlights and more.
02. Sign it in a few clicks
Draw your signature, type it, upload its image, or use your mobile device as a signature pad.
03. Share your form with others
Send it via email, link, or fax. You can also download it, export it or print it out.
How to use or fill out Blue Sheet-DOI Rev012505 with our platform
Ease of Setup
DocHub User Ratings on G2
Ease of Use
DocHub User Ratings on G2
Click ‘Get Form’ to open the Blue Sheet-DOI Rev012505 in the editor.
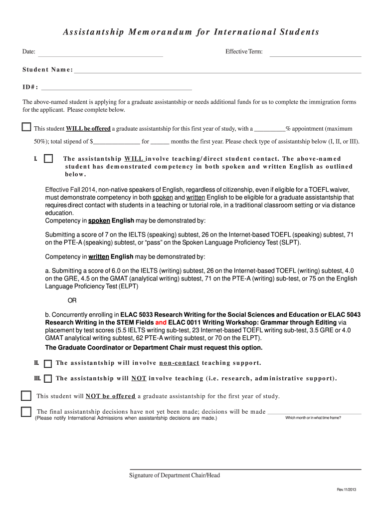
Begin by entering the date and effective term at the top of the form. This sets the context for your application.
Fill in your name and student ID number in the designated fields to ensure proper identification.
Indicate whether you will be offered a graduate assistantship by checking the appropriate box and specifying the percentage appointment and total stipend amount.
Select the type of assistantship (I, II, or III) based on your role, ensuring you meet any competency requirements outlined for teaching roles.
If applicable, provide evidence of English competency as required for teaching positions, including test scores or course enrollments.
Complete any additional notes regarding assistantship decisions and ensure that a signature from the Department Chair/Head is included before submission.
Start using our platform today to easily fill out your Blue Sheet-DOI Rev012505 form online for free!
Fill out Blue Sheet-DOI Rev012505 Blue Sheet-DOI Rev012505 online It's free
See more Blue Sheet-DOI Rev012505 Blue Sheet-DOI Rev012505 versions
We've got more versions of the Blue Sheet-DOI Rev012505 Blue Sheet-DOI Rev012505 form. Select the right Blue Sheet-DOI Rev012505 Blue Sheet-DOI Rev012505 version from the list and start editing it straight away!
What is the purpose of the Miller Heiman blue sheet?
Miller Heimans strategic selling process is centered around the iconic blue sheet. The blue sheet provides a framework for developing a winning strategy - regardless of your competition.
What is the blue sheet review process?
Conducting a blue sheet analysis A blue sheet is a comprehensive overview of a sales opportunity, including key players, their roles, and potential red flags. To create a blue sheet, start by listing all the key stakeholders and their roles (e.g., John Smith, CFO - Economic Buyer).
What is the blue sheet called?
Blue sheets are requests for transaction information by the SEC from financial institutions or trading firms. This information is meant to improve the transparency of banking and trading activities and to investigate irregularities. Companies or individuals may be fined if they do not provide accurate information.
What is a blue sheet in court?
The Senates blue slip policy allows home-state senators to signal their approval or disapproval of a judicial nominee appointed to a seat in their state by filling out and returning a blue slip of paper to the Senate Judiciary Committee.
What does blue sheeted mean?
Blue Sheet Data Electronic Blue Sheet (EBS) data files, which contain both trading and account holder information, provide regulatory agencies with the ability to analyze a firms trading activity. Firms are expected to provide complete, accurate and timely Blue Sheet data in response to regulatory requests.
Related Searches
Blue sheet doi rev012505 blue sheet doi rev012505 reviewElectronic blue sheets specificationsBlue Sheet reportingFINRA Blue sheetsBlue Sheet Miller Heiman exampleBlue sheets SECBlue sheet meaningBlue Sheet used in hospital
People also ask
What is the blue sheet review?
The Blue Sheet approach is a helpful process in that it provides an analysis of the obstacles present in the account today along with providing a means to identify appropriate actions to mitigate against the risks / blockers evident in the account.
What is the purpose of the blue sheet?
✅ The purpose of Blue Sheets is to help the SEC identify potential insider trading and other violations of securities laws. (Source: Investopedia) ✅ Blue Sheets require the submission of trading data, including the names of buyers and sellers, the size of the trades, and the prices at which they were executed.
Related links
Assistantship Memorandum for International Students
Effective Fall 2014, non-native speakers of English, regardless of citizenship, even if eligible for a TOEFL waiver, must demonstrate competency in both
This site uses cookies to enhance site navigation and personalize your experience.
By using this site you agree to our use of cookies as described in our Privacy Notice.
You can modify your selections by visiting our Cookie and Advertising Notice.... Read more...Read less