Demand for Acknowledgment of Satisfaction by Corporation or LLC - Tennessee 2026

Get Form
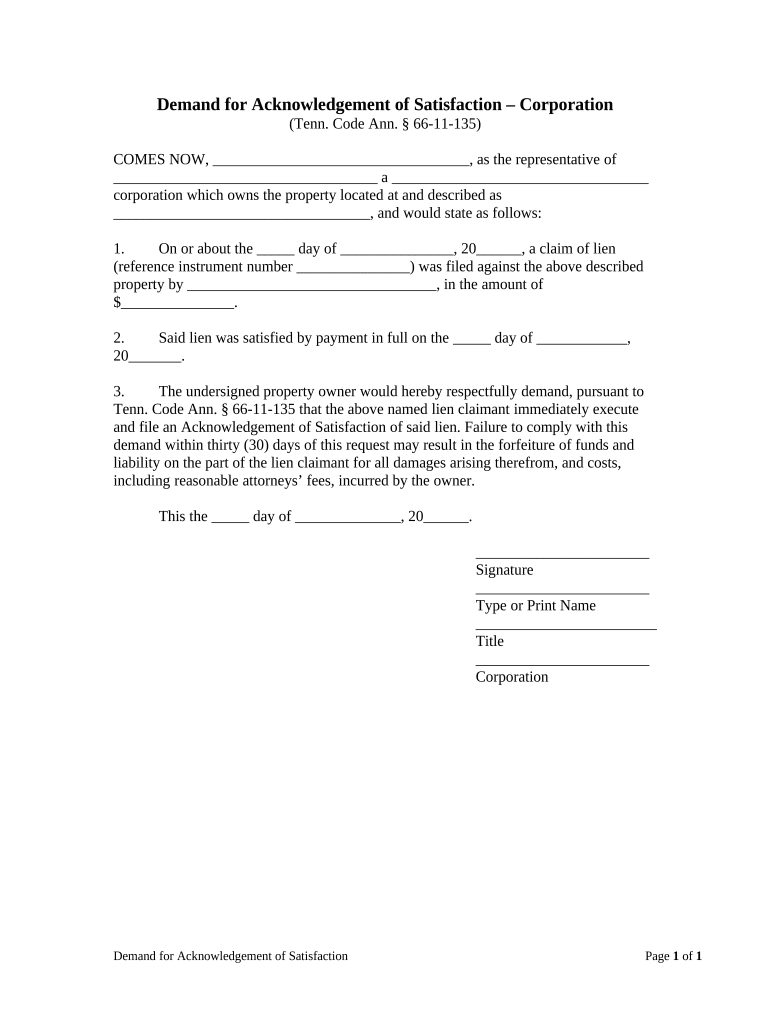
Demand for Acknowledgment of Satisfaction by Corporation or LLC - Tennessee Preview on Page 1

Here's how it works

01. Edit your form online
Type text, add images, blackout confidential details, add comments, highlights and more.
02. Sign it in a few clicks
Draw your signature, type it, upload its image, or use your mobile device as a signature pad.
03. Share your form with others
Send it via email, link, or fax. You can also download it, export it or print it out.

How to use or fill out Demand for Acknowledgment of Satisfaction by Corporation or LLC - Tennessee with our platform

Form edit decoration
9.5
Ease of Setup
DocHub User Ratings on G2
9.0
Ease of Use
DocHub User Ratings on G2
  1. Click ‘Get Form’ to open it in the editor.
  2. Begin by filling in your name as the representative of the corporation in the first blank space. This identifies who is making the demand.
  3. In the next section, enter the name of the corporation and its type (e.g., LLC, Corporation) to clarify which entity is involved.
  4. Provide the property address where the lien was filed. This ensures that all parties are aware of the specific location related to this demand.
  5. Fill in the date when the lien was filed and include its reference instrument number. This information is crucial for tracking and legal purposes.
  6. Indicate when the lien was satisfied by payment, ensuring you provide an accurate date.
  7. Complete your demand by signing and printing your name, along with your title within the corporation. This formalizes your request for acknowledgment.

Start using our platform today to easily complete your Demand for Acknowledgment of Satisfaction form online for free!

be ready to get more

Complete this form in 5 minutes or less

Get form

Got questions?

We have answers to the most popular questions from our customers. If you can't find an answer to your question, please contact us.
Contact us

Most eSignature solutions require users to have a paid subscription. With DocHub, there are two ways for you to add an electronic signature to your Demand for Acknowledgment of Satisfaction by Corporation or LLC - Tennessee at no cost:

  • You can do it during a 7-day trial period;
  • You can subscribe to a free plan.

The second option, however, has limitations on the number of signatures, sign requests, emails, and documents for adjusting available per month. You can check for full information here.

Using a swift editing platform like DocHub, you do not need anything but a web browser and internet connection to modify your Demand for Acknowledgment of Satisfaction by Corporation or LLC - Tennessee online swiftly. Add your document or find the relevant form in DocHub’s catalog, open our editor with one click, and complete it digitally. To edit your forms at any time, sign up a free account with DocHub.

The Tennessee Revised Limited Liability Company Act (the TRLLCA) generally permits the establishment of a limited liability company (an LLC) if the business owner files articles of organization with the Tennessee secretary of state.
Tennessee law has no provisions for entity domestication. If you plan to move your company to Tennessee your can choose between qualifying your existing company as Tennessee Foreign Entity, or dissolving it in the original state of registration and forming a new company in Tennessee.

Security and compliance

At DocHub, your data security is our priority. We follow HIPAA, SOC2, GDPR, and other standards, so you can work on your documents with confidence.

Learn more
ccpa2
pci-dss
gdpr-compliance
hipaa
soc-compliance
be ready to get more

Complete this form in 5 minutes or less

Get form