Quitclaim Deed from Corporation to Husband and Wife - South Carolina 2026

Get Form
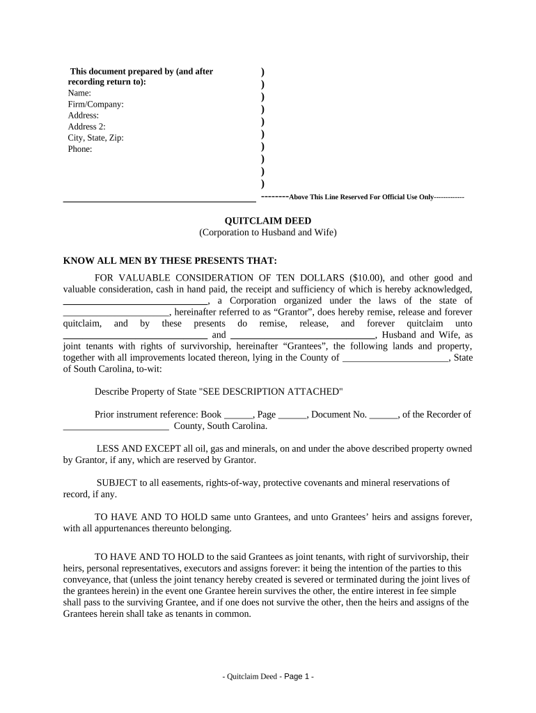
Quitclaim Deed from Corporation to Husband and Wife - South Carolina Preview on Page 1

Here's how it works

01. Edit your form online
Type text, add images, blackout confidential details, add comments, highlights and more.
02. Sign it in a few clicks
Draw your signature, type it, upload its image, or use your mobile device as a signature pad.
03. Share your form with others
Send it via email, link, or fax. You can also download it, export it or print it out.

How to use or fill out Quitclaim Deed from Corporation to Husband and Wife - South Carolina with our platform

Form edit decoration
9.5
Ease of Setup
DocHub User Ratings on G2
9.0
Ease of Use
DocHub User Ratings on G2
  1. Click ‘Get Form’ to open the Quitclaim Deed in the editor.
  2. Begin by filling in the 'Prepared by' section with your name, firm/company, address, and contact information.
  3. In the main body of the deed, enter the name of the corporation as the Grantor and provide its state of incorporation.
  4. Next, specify the names of both Grantees (Husband and Wife) and ensure they are listed as joint tenants with rights of survivorship.
  5. Describe the property being transferred. If there is a separate description document, indicate 'SEE DESCRIPTION ATTACHED'.
  6. Complete any prior instrument references if applicable, including book, page, and document numbers.
  7. Fill in the execution date at the bottom of the form where indicated.
  8. Ensure all signatures are obtained from both parties along with a witness and notary public for validation.

Start using our platform today to easily complete your Quitclaim Deed for free!

be ready to get more

Complete this form in 5 minutes or less

Get form

Got questions?

We have answers to the most popular questions from our customers. If you can't find an answer to your question, please contact us.
Contact us
In conclusion, a quitclaim deed can help transfer property ownership in California, especially among family members or in situations where trust is established. However, its important to understand that this type of deed offers no guarantees about the propertys title.
However, this approach has certain risks, so its not always the best option. Using a quitclaim deed might create tax issues or result in a loss of control of the property after the transfer. Additionally, the property could still require probate if you dont handle the transfer correctly.
A quitclaim deed is a simple tool for transferring interest in a property without guaranteeing that the grantor has valid ownership. Its most commonly used in non-sale situations, such as transfers between family members, or to update or clarify ownership titles.
Deeding a house, or transferring ownership to a family member, begins with identifying the recipient of the property. Once the terms and conditions have been agreed to, you will both complete and sign a change of ownership form, which will be filed with the local county recording office.
The quitclaim deed simply transfers any interest they may have to the other party. Because of the lack of title guarantees, quitclaim deeds are most often used to transfer property between two parties who know and trust each other, such as family members.

Security and compliance

At DocHub, your data security is our priority. We follow HIPAA, SOC2, GDPR, and other standards, so you can work on your documents with confidence.

Learn more
ccpa2
pci-dss
gdpr-compliance
hipaa
soc-compliance
be ready to get more

Complete this form in 5 minutes or less

Get form

People also ask

General warranty deeds provide the most legal protection for the Grantee when conveying property interest. The Grantor warrants to the Grantee that they have equitable legal title and there are no other claims to the property.
In South Carolina, a quit claim deed is a real property deed that only transfers interest in the property to the grantor who has a title. Unlike a warranty deed, a South Carolina quit claim deed does not guarantee good title to the property.
The big drawback is it doesnt offer guarantees. The person getting the property takes it as is. They risk the seller not really owning the property. This makes quitclaim deeds less ideal for most real estate deals. Warranty deeds offer more protection.

Related links