Type text, add images, blackout confidential details, add comments, highlights and more.
02. Sign it in a few clicks
Draw your signature, type it, upload its image, or use your mobile device as a signature pad.
03. Share your form with others
Send it via email, link, or fax. You can also download it, export it or print it out.
How to use or fill out petition protection of with our platform
Ease of Setup
DocHub User Ratings on G2
Ease of Use
DocHub User Ratings on G2
Click ‘Get Form’ to open it in the editor.
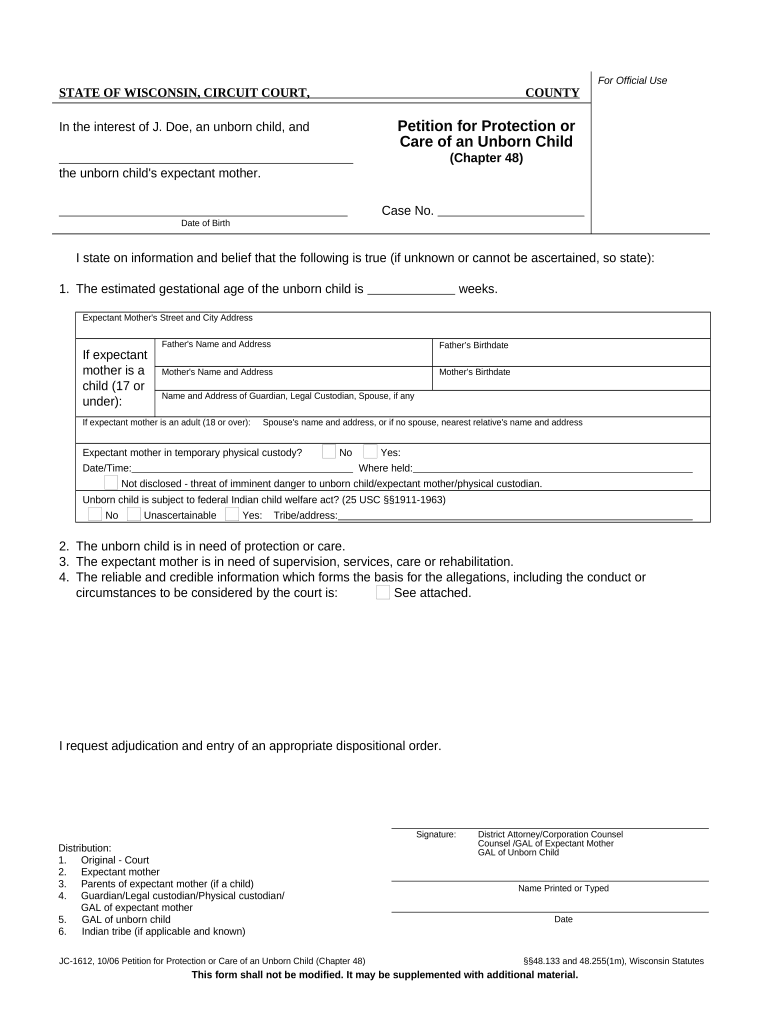
Begin by entering the case number and date of birth for the unborn child at the top of the form.
In section one, provide the estimated gestational age of the unborn child in weeks, along with the expectant mother's street and city address.
If applicable, indicate if the expectant mother is a minor (17 or under) and fill in the father's name, address, and birthdate.
For adult expectant mothers (18 or over), include their spouse's name and address or nearest relative's information if there is no spouse.
Indicate whether the expectant mother is in temporary physical custody and provide details if necessary.
Complete sections two and three by stating why the unborn child needs protection or care, as well as any required supervision for the expectant mother.
Attach any reliable information that supports your claims in section four before signing at the bottom of the form.
Start using our platform today to easily complete your petition for protection!
What is the maximum length of an order of protection?
After having a court hearing, a judge can grant you a restraining order after hearing that can last up to five years. However, if there is no termination date on the order, the order will last three years from the date it was issued.
What is the purpose of a petition?
You are asking the court to protect you. The judge needs to know what your abuser has done and why you are afraid. Tell the court where and when the abuse happened. Show the judge the proof you brought.
What is the full meaning of petition?
A petition is a request to do something, most commonly addressed to a government official or public entity. Petitions to a deity are a form of prayer called supplication. In the colloquial sense, a petition is a document addressed to an official and signed by numerous individuals.
How serious is an Order of Protection?
It is a legal document in which a Judge orders someone to follow specific conditions of behavior that is, tells someone things that they must or must not do. Police can make immediate arrests if they have reason to believe those conditions have been violated.
Related Searches
Protective order OklahomaHow to fight a protective order in OklahomaEmergency protective order OklahomaOklahoma Protective Order formHow to get an emergency protective order in OklahomaWhat happens after a petition is filedProtective order lookup OklahomaViolation of protective order Oklahoma statute
Security and compliance
At DocHub, your data security is our priority. We follow HIPAA, SOC2, GDPR, and other standards, so you can work on your documents with confidence.
25 CFR 11.1202 - How to petition for an order of protection.
(a) The petition must be made under oath or accompanied by a sworn affidavit setting out specific facts describing the act of domestic violence. (b) The
Cookie consent notice
This site uses cookies to enhance site navigation and personalize your experience.
By using this site you agree to our use of cookies as described in our Privacy Notice.
You can modify your selections by visiting our Cookie and Advertising Notice.