California successor investigations 2026

Get Form
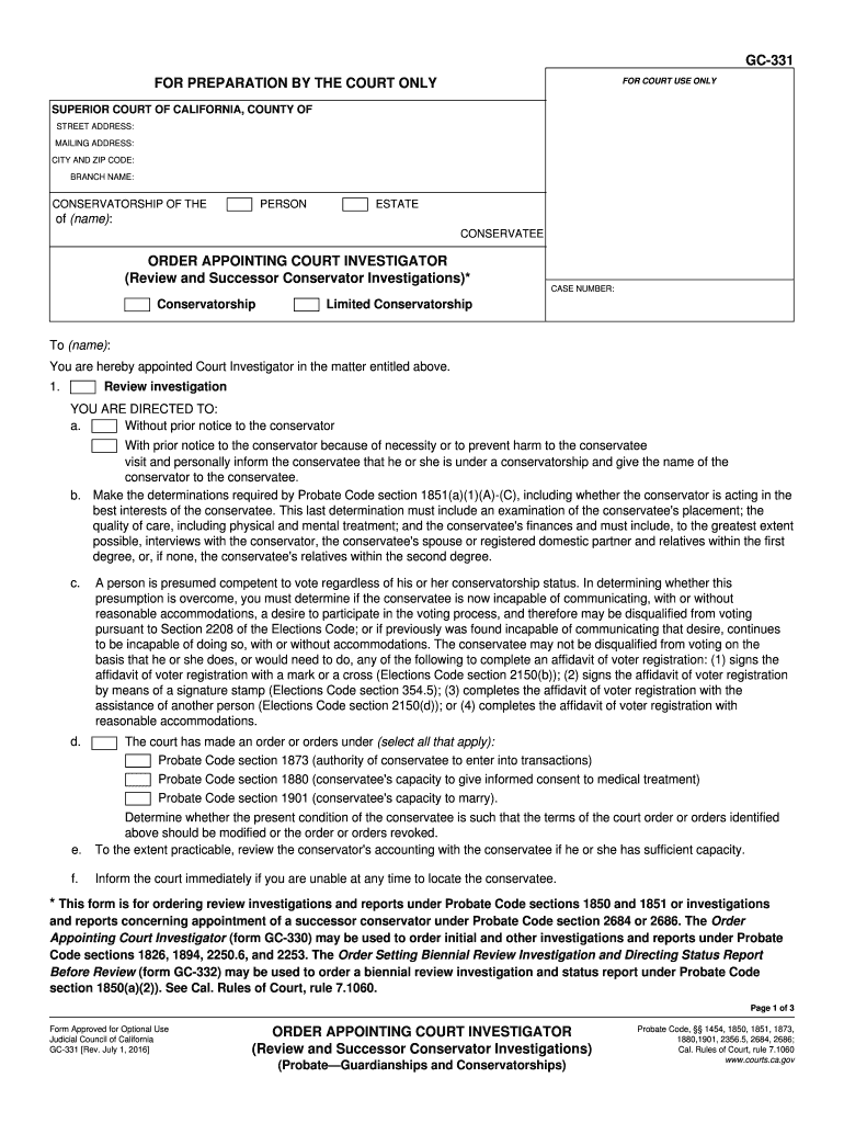
ca gc investigations Preview on Page 1

Here's how it works

01. Edit your ca gc investigations online
Type text, add images, blackout confidential details, add comments, highlights and more.
02. Sign it in a few clicks
Draw your signature, type it, upload its image, or use your mobile device as a signature pad.
03. Share your form with others
Send ca gc investigator via email, link, or fax. You can also download it, export it or print it out.

How to use or fill out California Successor Investigations with our platform

Form edit decoration
9.5
Ease of Setup
DocHub User Ratings on G2
9.0
Ease of Use
DocHub User Ratings on G2
  1. Click ‘Get Form’ to open the California Successor Investigations form in the editor.
  2. Begin by entering the conservatee's name and case number at the top of the form. This information is crucial for identifying the specific case.
  3. In Section 1, indicate whether you are conducting a review investigation or a successor conservator investigation. Follow the prompts to provide necessary details about your findings.
  4. For each directive listed under Section 1, ensure you check off any applicable items and provide detailed notes as required, especially regarding interviews and assessments of the conservatee's condition.
  5. Complete Section 3 by detailing any petitions for appointment of a successor conservator. Include dates and times for hearings, ensuring all parties are informed.
  6. Finally, review your entries for accuracy before saving or printing the completed form. Use our platform’s features to easily share or distribute your document as needed.

Start using our platform today to streamline your California Successor Investigations process for free!

See more california successor investigations versions

We've got more versions of the california successor investigations form. Select the right california successor investigations version from the list and start editing it straight away!
Versions Form popularity Fillable & printable
2023 4.8 Satisfied (22 Votes)
2016 4.8 Satisfied (125 Votes)
be ready to get more

Complete this form in 5 minutes or less

Get form

Got questions?

We have answers to the most popular questions from our customers. If you can't find an answer to your question, please contact us.
Contact us
When a conservator is appointed, a successor conservator can be named as well. The successor conservator replaces the appointed conservator if the appointed conservator resigns, is removed, is deemed incapable or dies.
(b) Appointment of a successor personal representative shall be made on petition and notice shall be delivered to interested persons in the manner provided in Article 2 (commencing with Section 8110) of Chapter 2, and shall be subject to the same priority as for an original appointment of a personal representative.

Security and compliance

At DocHub, your data security is our priority. We follow HIPAA, SOC2, GDPR, and other standards, so you can work on your documents with confidence.

Learn more
ccpa2
pci-dss
gdpr-compliance
hipaa
soc-compliance
be ready to get more

Complete this form in 5 minutes or less

Get form