Fiscal sponsor agreement template 2026

Get Form
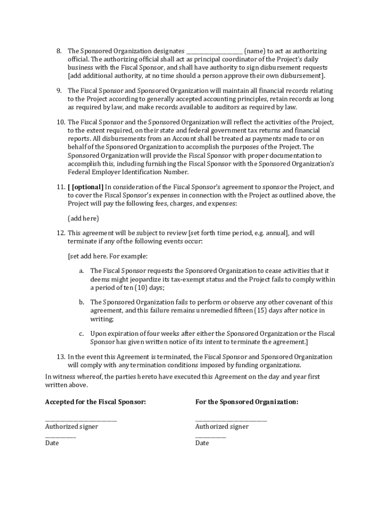
fiscal sponsor agreement sample Preview on Page 1

Here's how it works

01. Edit your fiscal sponsor agreement sample online
Type text, add images, blackout confidential details, add comments, highlights and more.
02. Sign it in a few clicks
Draw your signature, type it, upload its image, or use your mobile device as a signature pad.
03. Share your form with others
Send fiscal sponsor agreement template via email, link, or fax. You can also download it, export it or print it out.

How to use or fill out fiscal sponsor agreement template with our platform

Form edit decoration
9.5
Ease of Setup
DocHub User Ratings on G2
9.0
Ease of Use
DocHub User Ratings on G2
  1. Click ‘Get Form’ to open the fiscal sponsor agreement template in the editor.
  2. Begin by filling in the names of both the Fiscal Sponsor and the Sponsored Organization at the top of the document. This establishes who is entering into the agreement.
  3. In Section 1, confirm that both parties agree on the sponsorship terms. Ensure that all administrative, programmatic, financial, and legal responsibilities are clearly outlined.
  4. For Section 4, provide a detailed schedule for reporting programs and services. Use our platform's text fields to input dates and descriptions easily.
  5. Designate an authorizing official in Section 8 by filling in their name. This person will coordinate daily operations and manage disbursement requests.
  6. Review Sections 11 and 12 carefully to outline any fees or termination conditions. Make sure these sections reflect your specific agreements.
  7. Finally, have authorized signers complete their information at the end of the document, ensuring all signatures are collected before finalizing.

Start using our platform today to streamline your fiscal sponsor agreement process for free!

See more fiscal sponsor agreement template versions

We've got more versions of the fiscal sponsor agreement template form. Select the right fiscal sponsor agreement template version from the list and start editing it straight away!
Versions Form popularity Fillable & printable
2015 4.8 Satisfied (46 Votes)
be ready to get more

Complete this form in 5 minutes or less

Get form

Got questions?

We have answers to the most popular questions from our customers. If you can't find an answer to your question, please contact us.
Contact us
How to Draft an Effective Sponsorship Agreement: A Step-by-Step Guide Step 1: Identification of the Parties Involved. Step 2: Define the Scope of the Sponsorship. Step 3: Describe the Sponsors Benefits and Responsibilities. Step 4: Outline the Sponsored Partys Obligations.
A fiscal sponsor is a nonprofit organization that provides fiduciary oversight, financial management, and other administrative services to help build the capacity of charitable projects. Fiscal Sponsorship: a 360 Degree Perspective, Trust for Conservation Innovation.
Typically, standard Fiscal Sponsorship Fees range from 5% to 15% of all contributions received.
The document should include the following: Sponsor responsibilities, including receiving and reporting donations. Administrative fees. Beneficiary responsibilities, including records to be kept during the partnership. Expected goals. Duration of the sponsorship.
Fiscal sponsorship refers to the practice of non-profit organizations offering their legal and tax-exempt status to groupstypically projectsengaged in activities related to the sponsoring organizations mission. It typically involves a fee-based contractual arrangement between a project and an established non-profit.

Security and compliance

At DocHub, your data security is our priority. We follow HIPAA, SOC2, GDPR, and other standards, so you can work on your documents with confidence.

Learn more
ccpa2
pci-dss
gdpr-compliance
hipaa
soc-compliance

People also ask

Most fiscal sponsors charge sponsored projects a fee to offset the additional cost. Generally, that fee is somewhere between 5%-10% of all funds held on behalf of the sponsored group.
Due to the employee-employer relationship, the fiscal sponsor is both fiscally and legally liable for the actions of the project. Thus, the fiscal sponsor must exercise significant control over the projects actions and funding to safeguard itself from legal liability and losing its 501(c)(3) status.
So, while both fiscal sponsors and fiscal agents manage funds and provide administrative support, a fiscal sponsor offers a higher level of legal and financial backing by allowing your project to receive tax-deductible donations, a key advantage for long-term or larger initiatives.

Related links