Quitclaim Deed by Two Individuals to Husband and Wife - Texas 2026

Get Form
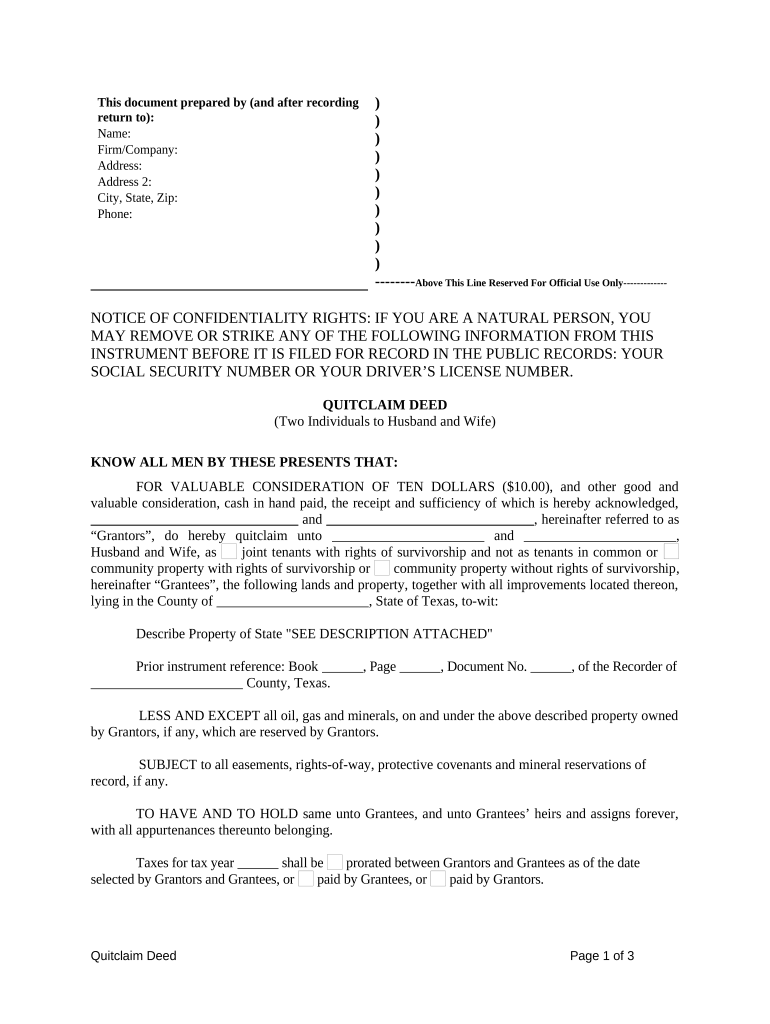
Quitclaim Deed by Two Individuals to Husband and Wife - Texas Preview on Page 1

Here's how it works

01. Edit your form online
Type text, add images, blackout confidential details, add comments, highlights and more.
02. Sign it in a few clicks
Draw your signature, type it, upload its image, or use your mobile device as a signature pad.
03. Share your form with others
Send it via email, link, or fax. You can also download it, export it or print it out.

How to use or fill out Quitclaim Deed by Two Individuals to Husband and Wife - Texas with DocHub

Form edit decoration
9.5
Ease of Setup
DocHub User Ratings on G2
9.0
Ease of Use
DocHub User Ratings on G2
  1. Click ‘Get Form’ to open it in the editor.
  2. Begin by entering the names of the Grantors in the designated fields. Ensure that both individuals are clearly identified.
  3. Fill in the Grantees' names, specifying 'Husband and Wife' as required. This section is crucial for establishing ownership.
  4. Describe the property being transferred. If there is a separate attachment, indicate this by writing 'SEE DESCRIPTION ATTACHED'.
  5. Complete any prior instrument references if applicable, including Book, Page, and Document numbers.
  6. Specify how taxes will be handled for the year indicated. Choose from options provided based on your agreement.
  7. Both Grantors must sign and date the document. Ensure that their printed names are also included below their signatures.
  8. Finally, have a witness sign and include notary information to validate the deed.

Start using our platform today to easily complete your Quitclaim Deed for free!

be ready to get more

Complete this form in 5 minutes or less

Get form

Got questions?

We have answers to the most popular questions from our customers. If you can't find an answer to your question, please contact us.
Contact us
Signing. Generally, only the grantors are required to sign a quit claim deed because a grantor is the one who is giving up property rights. Both spouses are considered the grantors in a quit claim deed conveying jointly held real property to one spouse, and so both spouses must sign the deed in front of a Notary Public
Yes, Quitclaim Deeds need to be notarized. To execute the Quitclaim Deed, you must sign the deed in front of an in-person or online notary public. In addition to notarization, some states also require witnesses to sign the deed.
A Quit Claim deed transfers ownership interest of the grantor to the grantee without any warranties or guarantees that title is good or that the property is free of liens or claims. A quitclaim deed is used mostly in non-sale transactions such as transfers between spouses.
Generally, if there are two names on the deed and the deed does not describe how the property is owned, the default is that it is owned as tenants in common if the co-owners are not spouses and tenancy by the entirety if they are.
A quitclaim deed is only valid if both parties willingly performed the property transfer. If there is evidence that the grantor was coerced into filing the quitclaim against their will, this is grounds to revoke it.

Security and compliance

At DocHub, your data security is our priority. We follow HIPAA, SOC2, GDPR, and other standards, so you can work on your documents with confidence.

Learn more
ccpa2
pci-dss
gdpr-compliance
hipaa
soc-compliance

People also ask

Does a spouse have the right to property after signing a quit claim deed? There is no guarantee regarding the property title transferred with a quitclaim deed. Instead, it simply moves ownership interests from one owner to another.
The form will be signed by both parties and requires a notary to legitimize the document. The document is then filed at a local county clerks office. Its important to note quitclaim deeds do not directly affect a mortgage.
This is a pretty easy process. You do not need a lawyer. You simply need to sign a quit claim deed transferring an undivided 50% ownership in the property to your wife. The deed needs to be witnessed, notarized, and then recorded in the real property records of the city/county in which the property is located.

Related links