01. Edit your quit claim deed form massachusetts online
Type text, add images, blackout confidential details, add comments, highlights and more.
02. Sign it in a few clicks
Draw your signature, type it, upload its image, or use your mobile device as a signature pad.
03. Share your form with others
Send chief masconomet via email, link, or fax. You can also download it, export it or print it out.
How to use or fill out Quitclaim Deed from Husband and Wife to an Individual - Massachusetts with our platform
Ease of Setup
DocHub User Ratings on G2
Ease of Use
DocHub User Ratings on G2
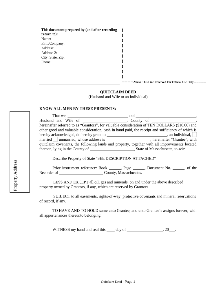
Click ‘Get Form’ to open the Quitclaim Deed in the editor.
Begin by entering the names of the Grantors (Husband and Wife) in the designated fields, along with their address details including city, state, and zip code.
In the section for Grantee, input the name of the individual receiving the property, specifying their marital status and address.
Describe the property being transferred. If there is a detailed description attached, indicate 'SEE DESCRIPTION ATTACHED' in the appropriate field.
Fill in any prior instrument references such as Book, Page, and Document Number related to previous ownership.
Ensure all necessary acknowledgments are made regarding easements or mineral reservations that may apply to the property.
Finally, have both Grantors sign and date the document. A notary public must also complete their section for validation.
Start using our platform today to easily fill out your Quitclaim Deed for free!
Fill out Quitclaim Deed from Husband and Wife to an Individual - Massachusetts online It's free
Property Deed Cost A property deed can cost between $50 to $200 for charges associated with the legal document that transfers the title to real estate from one person to another.
What are the requirements for a quitclaim deed in Massachusetts?
Since the deed offers no legal protection, there is little recourse if issues arise after the transfer. These risks make it essential to consult a qualified Quitclaim Deed Attorney before proceeding.
Related Searches
Repercussions of a quit claim deedQuit claim Deed form Massachusetts PDFQuit claim deed loopholesQuitclaim deed MassachusettsHow long does a quitclaim deed give you ownershipFree Quit claim Deed Form MassachusettsWhat is the purpose of a quit claim deedQuit claim deed Massachusetts divorce
Security and compliance
At DocHub, your data security is our priority. We follow HIPAA, SOC2, GDPR, and other standards, so you can work on your documents with confidence.
massachusetts quitclaim deed short form (individual) 881
Jan 29, 1986 MASSACHUSETTS QUITCLAIM DEED SHORT FORM (INDIVIDUAL) 881. We, ROBERT J. JANES and JULIA G. JANES, husband and wife, both of. Barrington, Rhode
Cookie consent notice
This site uses cookies to enhance site navigation and personalize your experience.
By using this site you agree to our use of cookies as described in our Privacy Notice.
You can modify your selections by visiting our Cookie and Advertising Notice.