General Notice of Default for Contract for Deed - Hawaii 2026

Get Form
regular claims court hawaii Preview on Page 1

Here's how it works

01. Edit your regular claims court hawaii online
Type text, add images, blackout confidential details, add comments, highlights and more.
02. Sign it in a few clicks
Draw your signature, type it, upload its image, or use your mobile device as a signature pad.
03. Share your form with others
Send it via email, link, or fax. You can also download it, export it or print it out.

How to use or fill out General Notice of Default for Contract for Deed - Hawaii with DocHub

Form edit decoration
9.5
Ease of Setup
DocHub User Ratings on G2
9.0
Ease of Use
DocHub User Ratings on G2
  1. Click ‘Get Form’ to open it in the editor.
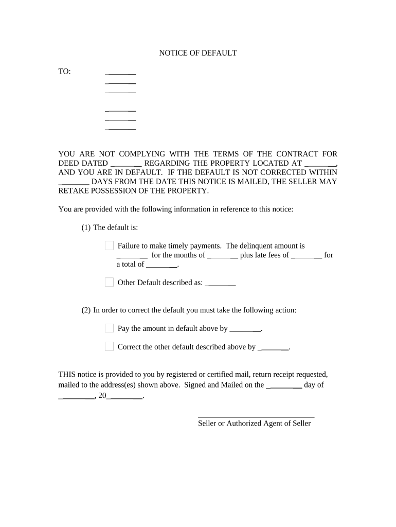
  2. Begin by filling in the recipient's name and address in the designated fields at the top of the form. Ensure accuracy to avoid any delivery issues.
  3. In the section regarding the contract date, enter the date of the original Contract for Deed. This is crucial for establishing the timeline of compliance.
  4. Next, specify the property location clearly, including city and state, to identify which property is involved in this notice.
  5. Indicate how many days are allowed for correction after mailing this notice. This timeframe is essential for compliance purposes.
  6. Detail the nature of the default, including any missed payments and associated late fees. Be specific about amounts and months affected.
  7. Outline corrective actions required to remedy each default listed. Clearly state payment deadlines and any other necessary actions.
  8. Finally, sign and date the document as the seller or authorized agent before sending it via registered or certified mail.

Start using our platform today to easily complete your General Notice of Default for Contract for Deed - Hawaii!

be ready to get more

Complete this form in 5 minutes or less

Get form

Got questions?

We have answers to the most popular questions from our customers. If you can't find an answer to your question, please contact us.
Contact us

Of course, electronically drawing your signature is acceptable, but only if you utilize a tool that complies with industry laws and regulations. Try DocHub, which guarantees eSignature validity under ESIGN and UETA requirements. All you need to approve your General Notice of Default for Contract for Deed - Hawaii electronically is an account with DocHub and an internet connection. When you open your file in our editor, click Sign and select the Draw option.

Document editing with DocHub is equally convenient on desktop and mobile devices. You just need an internet browser to modify your General Notice of Default for Contract for Deed - Hawaii on Android. Open our site and sign in to access the instruments you need. Add your document and introduce your intended modifications. After that, you can keep your form in your document storage or send it out instantly.

A default notice is a letter the people you owe send to warn that you are behind on payments and your account may default. The people you owe usually send this after six months of missed or reduced payments. They give you at least two weeks to make up missed payments.
A default occurs when a borrower does not make his or her mortgage loan payment and falls behind. When this happens, he or she risks the home heading into the foreclosure process.
You will typically receive a default notice if youve not kept up-to-date on your payments for between three and six months. It is effectively a nudge from the lender to make your payments within a certain period of time, before things get more serious. Lenders legally have to give you at least 14 days to respond.

Security and compliance

At DocHub, your data security is our priority. We follow HIPAA, SOC2, GDPR, and other standards, so you can work on your documents with confidence.

Learn more
ccpa2
pci-dss
gdpr-compliance
hipaa
soc-compliance

People also ask

This file serves as a notice to inform you of a default in a contract for deed. It outlines the necessary steps required to remedy the default. Use this form to understand your rights and obligations regarding your property.
A notice of default is a statement sent by one contract party to notify another that the latter was in default by failing to fulfil the terms of an agreement and a legal action would follow if the latter continue to default.
Include the agreed-upon purchase price, down payment amount, interest rate, and payment details. You should also outline the payment schedule and how and where payments are to be made. Besides monthly payments, youll want to define whether a final lump sum or balloon payment will be required at the end of the term.

Related links