General Notice of Default for Contract for Deed - Alabama 2026

Get Form
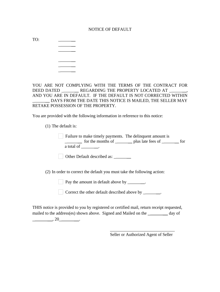
contract for deed alabama Preview on Page 1

Here's how it works

01. Edit your contract for deed alabama online
Type text, add images, blackout confidential details, add comments, highlights and more.
02. Sign it in a few clicks
Draw your signature, type it, upload its image, or use your mobile device as a signature pad.
03. Share your form with others
Send it via email, link, or fax. You can also download it, export it or print it out.

How to use or fill out General Notice of Default for Contract for Deed - Alabama with DocHub

Form edit decoration
9.5
Ease of Setup
DocHub User Ratings on G2
9.0
Ease of Use
DocHub User Ratings on G2
  1. Click ‘Get Form’ to open it in the editor.
  2. Begin by entering the names and addresses of the parties involved in the designated fields at the top of the form. Ensure accuracy to avoid any legal complications.
  3. In the section regarding the contract date, input the date of the original Contract for Deed. This is crucial for establishing timelines.
  4. Fill in the property address where indicated. This should match exactly with what is stated in your contract.
  5. Specify the number of days allowed to correct the default after this notice is mailed. This timeframe is essential for compliance.
  6. Detail the nature of the default, including any missed payments and associated late fees. Be precise about amounts and months affected.
  7. Outline corrective actions required to remedy each default listed, including payment deadlines and any other necessary steps.
  8. Finally, sign and date the notice at the bottom before sending it via registered or certified mail as indicated.

Start using our platform today to easily complete your General Notice of Default for Contract for Deed - Alabama!

be ready to get more

Complete this form in 5 minutes or less

Get form

Got questions?

We have answers to the most popular questions from our customers. If you can't find an answer to your question, please contact us.
Contact us
Interest rates in contract for deed arrangements can vary depending on the negotiations between the buyer and seller, as well as prevailing market conditions. Typically, interest rates in contract for deed agreements range between 4% and 18%.
This file serves as a notice to inform you of a default in a contract for deed. It outlines the necessary steps required to remedy the default. Use this form to understand your rights and obligations regarding your property.
A deed of termination intended for use when the parties wish to bring a contract to an end. It provides various options for dealing with the parties accrued rights and liabilities under the contract being terminated.
Other risks include: (1) the loan remains on a Sellers credit report, (2) Seller is still liable for the loan, (3) risk of non-payment by the buyer, and (4) the buyer never goes through a formal application process like with a regular mortgage.
This Contract for Deed should be submitted along with a Certificate of Value containing the name and address of the buyer and seller, the legal description of the real property, the actual consideration exchanged for the real property, the relationship of the seller and buyer, if any, and the terms of the payment if

Security and compliance

At DocHub, your data security is our priority. We follow HIPAA, SOC2, GDPR, and other standards, so you can work on your documents with confidence.

Learn more
ccpa2
pci-dss
gdpr-compliance
hipaa
soc-compliance

People also ask

Write a Termination of Contract Notice Once the grounds for termination are clear, the non-bdocHubing party must then provide a written notice informing the bdocHubing party of their intent to terminate.
Recipients details: Their name, company name, and address. Date of the letter: The day youre sending it. Reference to agreement: Clearly identify the contract (name, parties, date agreed) Notice of termination: State you are ending the contract, specify the effective date, and refer to the contract clause (if
Contracts for deed are loans where the seller keeps the legal title of a home until the borrower makes all the payments. Some contracts for deed can provide a path to homeownership, but most carry risks.

Related links