General tax 2026

Get Form
general tax Preview on Page 1

Here's how it works

01. Edit your form online
Type text, add images, blackout confidential details, add comments, highlights and more.
02. Sign it in a few clicks
Draw your signature, type it, upload its image, or use your mobile device as a signature pad.
03. Share your form with others
Send it via email, link, or fax. You can also download it, export it or print it out.

How to use or fill out general tax with our platform

Form edit decoration
9.5
Ease of Setup
DocHub User Ratings on G2
9.0
Ease of Use
DocHub User Ratings on G2
  1. Click ‘Get Form’ to open the general tax document in the editor.
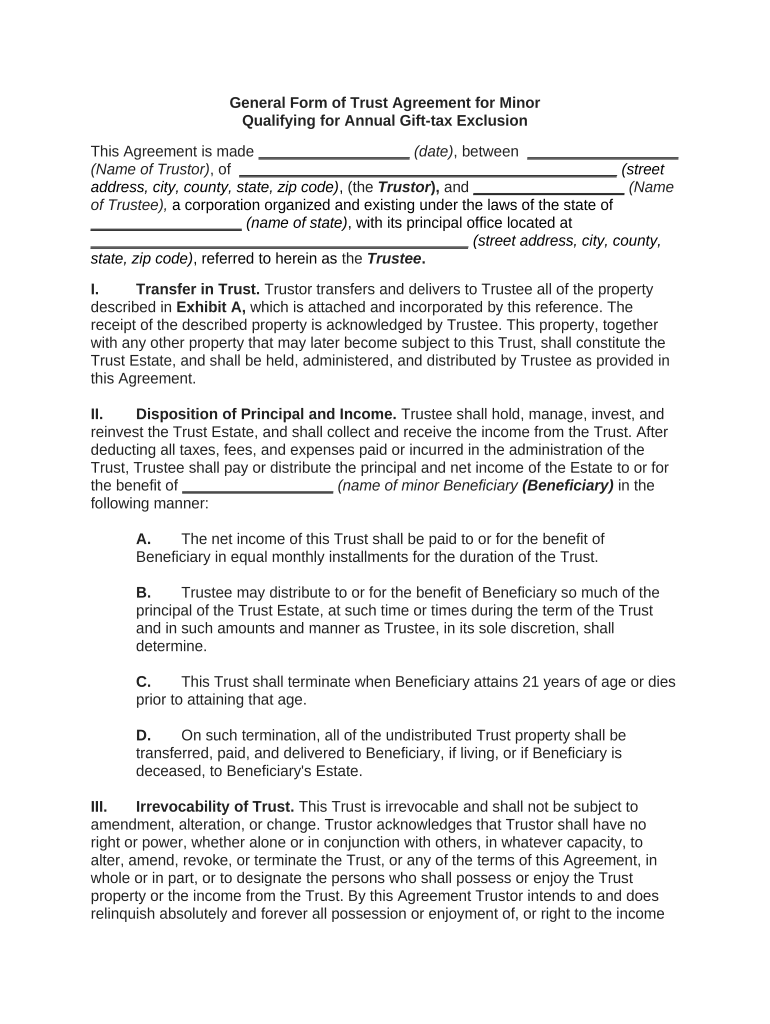
  2. Begin by entering the date of the agreement at the top of the form. This is crucial for establishing the timeline of the trust.
  3. Fill in the names and addresses of both the Trustor and Trustee. Ensure accuracy as this information identifies all parties involved.
  4. In Exhibit A, list all property being transferred into trust. This section is vital as it defines what assets are included in the Trust Estate.
  5. Complete Section II by detailing how income and principal will be distributed to the minor beneficiary. Specify amounts and frequency of payments.
  6. Review Section III regarding irrevocability, ensuring you understand that once established, this trust cannot be altered or revoked.
  7. Finalize by signing and dating at the bottom of the form, confirming your agreement to all terms outlined.

Start using our platform today for free to streamline your tax document editing and completion!

be ready to get more

Complete this form in 5 minutes or less

Get form

Got questions?

We have answers to the most popular questions from our customers. If you can't find an answer to your question, please contact us.
Contact us
Brazil personal income tax rate is progressive, ranges from 0 to 27.5 percent and is collected by the Federal Government. Besides incomes, individuals are also taxed on their worldwide earnings and assets gains. The benchmark we use refers to the Top Marginal Tax Rate for individuals.
Federal individual tax rates vary from 10% to 37%. Some states and localities impose an income tax at a graduated rate, and some at a flat rate on all taxable income. Individuals are eligible for a reduced rate of federal income tax on capital gains and qualifying dividends.
A tax is a mandatory payment or charge collected by local, state, and national governments from individuals or businesses to cover the costs of general government services, goods, and activities.
General Taxes means all taxes imposed by any Governmental Body, including employment taxes, payroll taxes, severance taxes or other taxes on real or personal property, highway vehicle use taxes and fees, franchise taxes, income taxes or other taxes based on income, but the term General Taxes shall exclude all taxes
Income tax is imposed by governments on income earned by businesses and individuals to fund public services and government obligations. The U.S. employs a progressive tax system where higher-income earners pay a higher tax rate than those with lower incomes.

Security and compliance

At DocHub, your data security is our priority. We follow HIPAA, SOC2, GDPR, and other standards, so you can work on your documents with confidence.

Learn more
ccpa2
pci-dss
gdpr-compliance
hipaa
soc-compliance

People also ask

According to Income Tax Act, 1961; Regular Assessment Tax means the assessments that are done under sub-section (3) of Section 143 or Section 144. The Assessments done under Section 143(3) are known as detailed assessment or scrutiny assessment.
A persons general income for a tax year is the sum of their taxable income less any tax reliefs to which they are entitled; in other words, it is their taxable income before deduction of their personal allowance. It is also referred to as the persons net income. See In-Depth.

Related links