Incorporate partnership 2026

Get Form
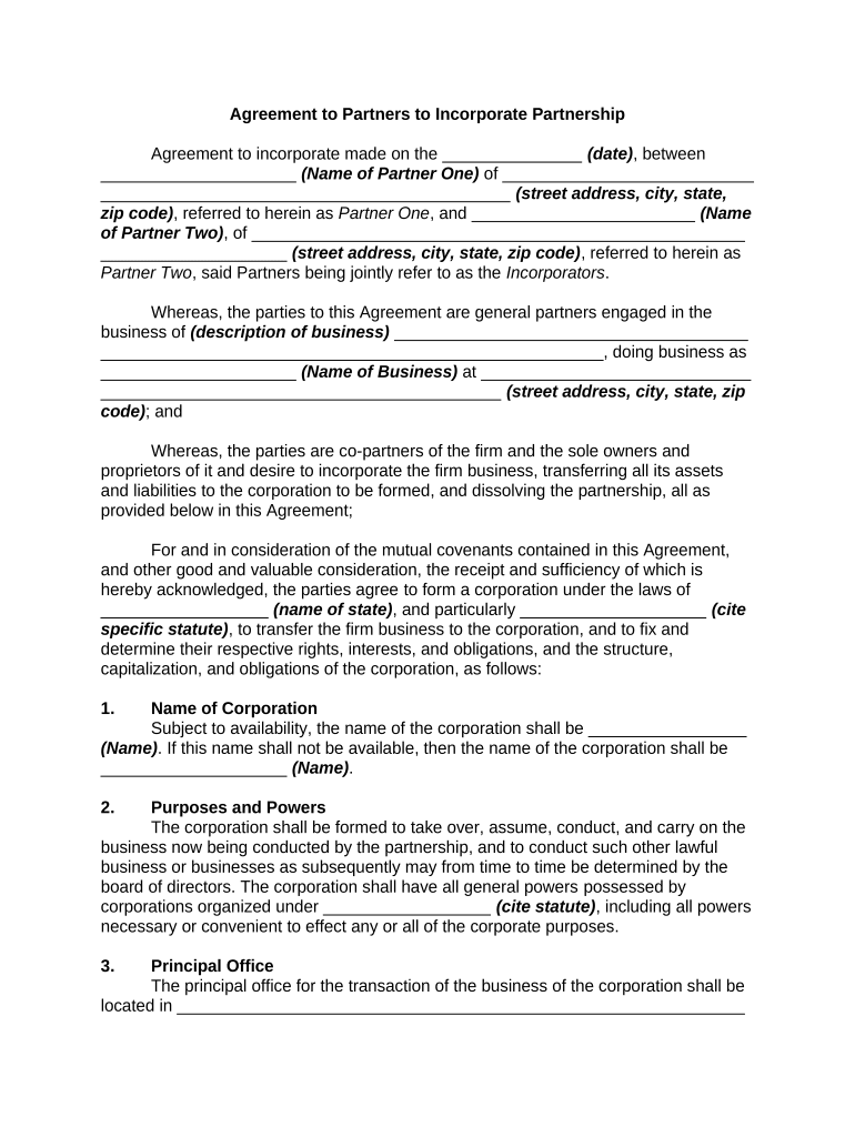
incorporate partnership Preview on Page 1

Here's how it works

01. Edit your form online
Type text, add images, blackout confidential details, add comments, highlights and more.
02. Sign it in a few clicks
Draw your signature, type it, upload its image, or use your mobile device as a signature pad.
03. Share your form with others
Send it via email, link, or fax. You can also download it, export it or print it out.

How to use or fill out incorporate partnership with our platform

Form edit decoration
9.5
Ease of Setup
DocHub User Ratings on G2
9.0
Ease of Use
DocHub User Ratings on G2
  1. Click ‘Get Form’ to open the incorporate partnership document in the editor.
  2. Begin by entering the date of the agreement in the designated field. This is crucial for establishing the timeline of your incorporation.
  3. Fill in the names and addresses of Partner One and Partner Two. Ensure accuracy as these details are essential for legal identification.
  4. Describe the business being conducted by the partnership. This section outlines what your corporation will take over.
  5. Specify the name of the corporation, ensuring it complies with state regulations regarding availability.
  6. Detail the purposes and powers of your corporation, including any additional lawful businesses you may wish to conduct.
  7. Complete sections on principal office location, signing articles, first directors, and officers by entering relevant names and addresses.
  8. Finalize capitalization details, including authorized capital and stock information, ensuring all figures are accurate.

Start using our platform today to streamline your incorporation process for free!

be ready to get more

Complete this form in 5 minutes or less

Get form

Got questions?

We have answers to the most popular questions from our customers. If you can't find an answer to your question, please contact us.
Contact us
(More on liability and liability protection later.) LLC is not a type of corporation, although it does share a number of similarities. For example, when you form an LLC, you are forming a company with its own legal existence separate from its founders and members (as the owners of LLCs are called).
The primary impact of incorporation is that the business that was previously carried on in a partnership is now carried on by a company owned by the same people.
Kickstart your new business in minutes There are three relatively common partnership types: general partnership (GP), limited partnership (LP) and limited liability partnership (LLP). A fourth, the limited liability limited partnership (LLLP), is not recognized in all states.
Partners may agree to add partners in one or two ways. First, the new partner could buy out all or a portion of the interest of an existing partner or partners. Second, the new partner could invest in the partnership resulting in an increase in the number of partners.
An incorporated limited partnership has a separate legal personality which means it can act and be party to legal proceedings in its own name. Unlike a traditional limited partnership and separate limited partnership, it is incorporated so it continues to exist regardless of what happens to the partners.

Security and compliance

At DocHub, your data security is our priority. We follow HIPAA, SOC2, GDPR, and other standards, so you can work on your documents with confidence.

Learn more
ccpa2
pci-dss
gdpr-compliance
hipaa
soc-compliance
be ready to get more

Complete this form in 5 minutes or less

Get form

People also ask

The partnership firm can be incorporated by drafting the partnership deed and entering into the partnership agreement. Apart from the partnership deed, no other documents are required. It need not even be registered with the Registrar of Firms.

Related links