Texas affidavit form blank 2026

Get Form
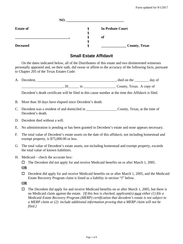
small estate affidavit texas form Preview on Page 1

Here's how it works

01. Edit your small estate affidavit texas form online
Type text, add images, blackout confidential details, add comments, highlights and more.
02. Sign it in a few clicks
Draw your signature, type it, upload its image, or use your mobile device as a signature pad.
03. Share your form with others
Send texas small estate affidavit form via email, link, or fax. You can also download it, export it or print it out.

How to use or fill out texas affidavit form blank with DocHub

Form edit decoration
9.5
Ease of Setup
DocHub User Ratings on G2
9.0
Ease of Use
DocHub User Ratings on G2
  1. Click ‘Get Form’ to open the Texas Affidavit form in our editor.
  2. Begin by filling in the decedent's name and date of death in Section A. Ensure accuracy as this information is crucial for the affidavit.
  3. In Section B, confirm that more than 30 days have passed since the decedent's death. This is a legal requirement for filing.
  4. Proceed to Section C and specify the county where the decedent was domiciled at the time of death.
  5. Complete Sections D through H by providing details about the will status, estate value, and any Medicaid claims. Use checkboxes where applicable.
  6. List all assets and their values in Section I. Be detailed to ensure clarity on each asset's identification.
  7. In Section J, document all liabilities associated with the estate, ensuring no debts are overlooked.
  8. Fill out family history sections (K through M) accurately to reflect heirs and their relationships to the decedent.
  9. Finally, gather signatures from distributees and witnesses as required at the end of the form. Ensure all signatures are notarized.

Start using our platform today to fill out your Texas Affidavit form easily and for free!

be ready to get more

Complete this form in 5 minutes or less

Get form

Got questions?

We have answers to the most popular questions from our customers. If you can't find an answer to your question, please contact us.
Contact us
Bring your legal documentation to life with these expertly crafted Affidavit Templates in Microsoft Word by Template.net. Tailored for lawyers, legal professionals, and individuals alike, these templates allow you to create precise and polished affidavits effortlessly.
Free Affidavit Template for Every State (US) | LawDepot.
Affidavits must be signed in front of a notary public. A notary must verify your identification before you sign the document. Bring ID (like a drivers license or other form of identification) for the notary before you sign the affidavit.
You can make an affidavit at any police station, where an officer will provide you with a standard form and help you complete the process.
The TexasLawHelp.org website has free forms for many kinds of very simple cases. First, TexasLawHelp has forms that a computer program will fill out for you. Second, TexasLawHelp has blank forms that you can print off the website and fill in yourself.

Security and compliance

At DocHub, your data security is our priority. We follow HIPAA, SOC2, GDPR, and other standards, so you can work on your documents with confidence.

Learn more
ccpa2
pci-dss
gdpr-compliance
hipaa
soc-compliance
be ready to get more

Complete this form in 5 minutes or less

Get form